
Grado en Ingeniería Informática (UCA)
Puerto Real
Asignaturas de Grado en Ingeniería Informática (UCA)
Asignatura
arrow_downward4º
•
8 posts
3º
•
11 posts
1º
•
255 posts
4º
•
10 posts
2º
•
239 posts
4º
•
21 posts
1º
•
13 posts
2º
•
201 posts
2º
•
251 posts
1º
•
321 posts
4º
•
20 posts
4º
•
7 posts
4º
•
16 posts
4º
•
0 posts
3º
•
3 posts
3º
•
13 posts
3º
•
93 posts
3º
•
7 posts
3º
•
23 posts
3º
•
12 posts
4º
•
0 posts
1º
•
237 posts
2º
•
191 posts
4º
•
8 posts
1º
•
179 posts
1º
•
441 posts
3º
•
13 posts
4º
•
2 posts
2º
•
190 posts
4º
•
32 posts
4º
•
11 posts
3º
•
122 posts
3º
•
13 posts
3º
•
19 posts
4º
•
9 posts
1º
•
357 posts
1º
•
224 posts
1º
•
239 posts
4º
•
7 posts
3º
•
28 posts
2º
•
252 posts
4º
•
26 posts
4º
•
24 posts
3º
•
168 posts
3º
•
10 posts
2º
•
183 posts
4º
•
1 posts
3º
•
23 posts
3º
•
22 posts
3º
•
41 posts
4º
•
18 posts
2º
•
275 posts
3º
•
234 posts
3º
•
12 posts
1º
•
156 posts
2º
•
174 posts
3º
•
41 posts
2º
•
357 posts
4º
•
0 posts
3º
•
11 posts
3º
•
16 posts
4º
•
11 posts
3º
•
35 posts
4º
•
0 posts
3º
•
27 posts
4º
•
13 posts
Últimas publicaciones de Grado en Ingeniería Informática (UCA)
apuntes
-
TEORIA BBDD
He publicado nuevos apuntes de 2º Bases de Datos: TEORIA BBDD
practicas
-
TABD - ✅ PRÁCTICAS 2025 RESUELTAS Y EXPLICADAS DE 10 ✅
Prácticas de TABD RESUELTAS de 10 del año 2025.
He publicado nuevos apuntes de 2º Programación Orientada a Objetos: Cuestionario-Tema-1-y-excepciones-en-C.pdf
apuntes
-
RESÚMENES TEORÍA BD
Resúmenes de TODOS los temas de teoría de Bases de Datos
apuntes
-
TEORIA FEC
He publicado nuevos apuntes de 1º Fundamentos de Estructura de Computadores: TEORIA FEC
apuntes
-
Resumenes Teoria BD
Resumen de todos los temas de teoria de Base de Datos
He publicado nuevos apuntes de 2º Sistemas Distribuidos: Tema-1-Resumen-Claro.pdf
He publicado nuevos apuntes de 3º Verificación y validación de software: VVS.Tema.2.Tecnicas.estaticas.y.dinamicas.de.verificacion.y.validacion.pdf
apuntes
-
PROBLEMAS SEMINARIOS
Explicación sin diagramas para sacar los casos de uso y hacer los diagramas, los diagramas no los incluyo porque estan en el campus.
apuntes
-
RESUMENES TEMAS DE TEORÍA
He publicado nuevos apuntes de 2º Bases de Datos: RESUMENES TEMAS DE TEORÍA
apuntes
-
Preguntas y glosario para repasar FFEI
Preguntas y glosario perfecto para repasar todo el tema
apuntes
-
Resumenes teoria FFEI
Resumenes con formulas y valores importantes
apuntes
-
Resumenes teoria FEC
Resúmenes de todos los temas de teoría de FEC
apuntes
-
Temas Teoria
He publicado nuevos apuntes de 2º Bases de Datos: Temas Teoria
Preguntas de los ultimos examenes de Teoria EDNL.
apuntes
-
RESÚMENES TEORÍA SD
Resúmenes de TODOS los temas de Sistemas Distribuidos
practicas
-
Prácticas 2
He publicado nuevos practicas de 2º Estructuras de Datos no Lineales: Prácticas 2
apuntes
-
RESUMENES TEORIA
Algunos pueden ser actualizados con apuntes de clase, como es el caso del tema 1
apuntes
-
RESUMENES TEMAS TEORIA
He publicado nuevos apuntes de 1º Metodología de la Programación: RESUMENES TEMAS TEORIA
ejercicios
-
VVS - ✅ Ejercicios RESUELTOS Y EXPLICADOS de 10 ✅
Ejercicios de evaluación continua hechos durante clase. Incluye seminarios. Los enunciados se encuentran en el campus.
He publicado nuevos ejercicios de 3º Verificación y validación de software: VVS.Seminario.1.pdf
practicas
-
Prácticas 1
He publicado nuevos practicas de 2º Estructuras de Datos no Lineales: Prácticas 1
Examen Final de la convocatoria ordinaria de Febrero 2026 RESUELTO Y EXPLICADO.
apuntes
-
Glosarios y Cuestionarios FEC
Cuestionarios de preguntas cortas y glosario de las cosas claves de los temas para estudiar
apuntes
-
Temas Teoria
He publicado nuevos apuntes de 2º Sistemas Distribuidos: Temas Teoria
ejercicios
-
Problemas Resueltos
Problemas resueltos de todos los temas
He publicado nuevos apuntes de 2º Sistemas Operativos: SO.Entregables-del-5.1-al-5.5.pdf
apuntes
-
Temas Teoria
He publicado nuevos apuntes de 2º Ingeniería del Software: Temas Teoria
apuntes
-
APUNTES IS
Resúmenes de los temas de Ingeniería del Software
Resumen del Tema 1 de Sistemas Distribuidos explicado de forma clara y tipo examen
apuntes
-
RESUMENES SEMINARIOS
He publicado nuevos apuntes de 2º Sistemas Distribuidos: RESUMENES SEMINARIOS
Preguntas del primer cuestionario de poo, he estado comprobando las respuestas correctas (deberían estar bien)
apuntes
-
Apuntes Teoría
Año 22-23
practicas
-
Apuntes Prácticas
Año 22-23
apuntes
-
Apuntes IG
Año 22-23
examenes
-
Examen Enero 2026
He publicado nuevos examenes de 2º Análisis de Algoritmos y Estructuras de Datos: Examen Enero 2026
He publicado nuevos apuntes de 4º Tecnologías de Inteligencia de Negocio: Resumen-TIN.pdf
Este resumen está hecho para entenderlo rápido y aprobar sin complicarte. Resumen completo del Tema 1 de Ingeniería del Software organizado por objetivos oficiales. Suelen preguntar estos objetivos en exámenes
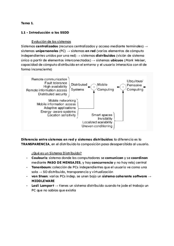
He publicado nuevos apuntes de 2º Sistemas Distribuidos: TEMA-1-INTRODUCCION-A-LOS-SISTEMAS-DISTRIBUIDOS.pdf
apuntes
-
VVS.Tema.1.Introducción.y.Ejercicios
He publicado nuevos apuntes de 3º Verificación y validación de software: VVS.Tema.1.Introducción.y.Ejercicios
apuntes
-
RESUMENES DE TEMAS TEORIA
Resumenes completos de los temas con los objetivos por si vais apurados.
Apuntes completos y muy claros del Tema 1 de Árboles (EDNL). Incluye todas las definiciones importantes explicadas de forma sencilla
He publicado nuevos apuntes de 2º Ingeniería del Software: TEMA-1.-INTRODUCCION-A-LA-INGENIERIA-DEL-SOFTWARE.pdf
Apuntes que resumen las propiedades de la parte de analisis hechos con cariño