Doble Grado en Estudios Franceses y Estudios Ingleses (UCA)
Cádiz
Asignaturas de Doble Grado en Estudios Franceses y Estudios Ingleses (UCA)
Asignatura
arrow_downward2º
•
0 posts
2º
•
0 posts
3º
•
2 posts
2º
•
0 posts
2º
•
0 posts
1º
•
7 posts
2º
•
15 posts
2º
•
0 posts
2º
•
0 posts
2º
•
0 posts
1º
•
0 posts
1º
•
1 posts
2º
•
1 posts
2º
•
1 posts
1º
•
0 posts
1º
•
0 posts
1º
•
1 posts
1º
•
15 posts
1º
•
3 posts
1º
•
1 posts
2º
•
2 posts
2º
•
5 posts
3º
•
1 posts
5º
•
0 posts
1º
•
13 posts
5º
•
0 posts
2º
•
3 posts
4º
•
0 posts
4º
•
0 posts
4º
•
0 posts
3º
•
0 posts
4º
•
0 posts
5º
•
0 posts
4º
•
0 posts
5º
•
0 posts
5º
•
0 posts
5º
•
0 posts
3º
•
5 posts
4º
•
0 posts
3º
•
1 posts
4º
•
1 posts
3º
•
2 posts
4º
•
0 posts
4º
•
0 posts
4º
•
0 posts
1º
•
29 posts
5º
•
0 posts
3º
•
3 posts
Últimas publicaciones de Doble Grado en Estudios Franceses y Estudios Ingleses (UCA)
He publicado nuevos apuntes de 3º Variación lingüística en lengua francesa: MOYEN-FRANCAIS.pdf
aquí encontrarás formalismo ruso, teorías sociológicas, estructuralismo, semiótica, estética de la percepción, crítica feminista, estudios culturales y conceptos de la literatura
He publicado nuevos apuntes de 3º Semántica de la lengua inglesa I: UNIT-2-SENSE-RELATIONS.pdf
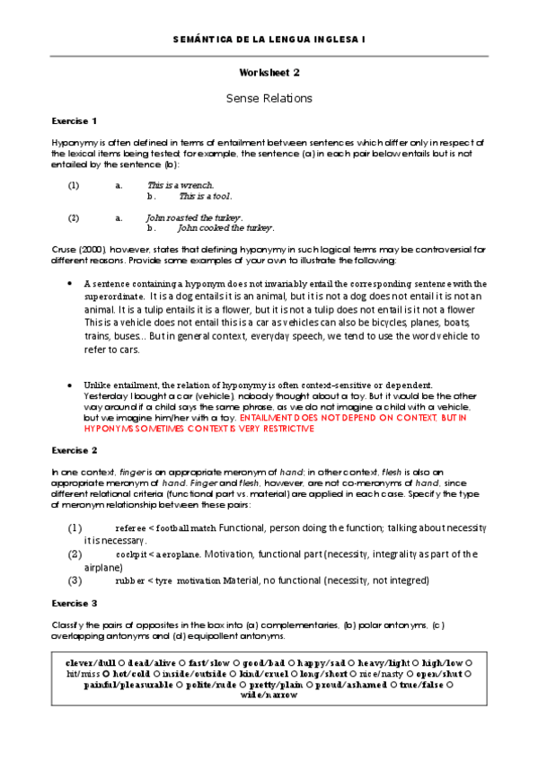
He publicado nuevos ejercicios de 3º Semántica de la lengua inglesa I: Worksheet-2.pdf
apuntes
-
SEMANTICS INTRODUCTION AND UNIT 1
He publicado nuevos apuntes de 3º Semántica de la lengua inglesa I: SEMANTICS INTRODUCTION AND UNIT 1
Como guía, la información marcada con estrellas azules es aquella con más probabilidad de caer en el examen de teoría, según lo dicho en la última clase
He publicado nuevos apuntes de 3º Fonética y Fonología de la Lengua Inglesa: Vowels-and-diphthongs.pdf
practicas
-
Phonetics practices
He publicado nuevos practicas de 3º Fonética y Fonología de la Lengua Inglesa: Phonetics practices
apuntes
-
APUNTES - ALFONSO CEBALLOS
Aquí una recopilación de los apuntes de los temas impartidos por el profesor AlfonsoCeballos, incluyendo toda la información de las presentaciones de Prezi del profesor, así como pequeños apuntes mencionados en clase.
He publicado nuevos apuntes de 3º Introducción a los estudios ingleses literarios y norteamericanos: Resumen-apuntes.pdf
He publicado nuevos apuntes de 3º Introducción a los estudios ingleses literarios y norteamericanos: Portfolio-completo.pdf
He publicado nuevos apuntes de 3º Comentario de textos literarios ingleses y norteamericanos: Apuntes-completos.pdf
He publicado nuevos apuntes de 2º Lengua Francesa III: La-Synthese-Espanol.pdf
apuntes
-
APUNTES COMPLETOS
He publicado nuevos apuntes de 3º Fonética y Fonología de la Lengua Inglesa: APUNTES COMPLETOS
He publicado nuevos apuntes de 1º Teoria de la Literatura: EXAMEN-T-LIT.-CONV.-ORDINARIA.pdf
He publicado nuevos apuntes de 1º Teoria de la Literatura: COMENTARIO-NARRATIVA-2-LMEV.pdf
He publicado nuevos apuntes de 1º Teoria de la Literatura: COMENTARIO-NARRATIVA-1-MAUPASSANT.pdf
He publicado nuevos apuntes de 1º Teoria de la Literatura: EL-ENFERMO-IMAGINARIO-MOLIERE.pdf
He publicado nuevos apuntes de 1º Teoria de la Literatura: GENERO-NARRATIVO.pdf
He publicado nuevos examenes de 1º Teoria de la Literatura: EXAMEN-TEORIA-DE-LA-LITERATURA-2022-2023.pdf
He publicado nuevos apuntes de 1º Teoria de la Literatura: CONCEPTOS-IMPORTANTES.pdf
He publicado nuevos apuntes de 1º Teoria de la Literatura: CONCEPTOS-BLOQUE-1.pdf
He publicado nuevos apuntes de 1º Teoria de la Literatura: RESUMEN-COMPLETO-DE-OBRAS.pdf
He publicado nuevos apuntes de 1º Pensamiento Critico, Discurso y Argumentación: Tema-6.pdf
He publicado nuevos apuntes de 1º Pensamiento Critico, Discurso y Argumentación: Descodificacion-de-significados.docx
He publicado nuevos apuntes de 1º Pensamiento Critico, Discurso y Argumentación: TEMA-2.pdf
He publicado nuevos apuntes de 1º Pensamiento Critico, Discurso y Argumentación: TEMA-3.pdf
He publicado nuevos apuntes de 1º Pensamiento Critico, Discurso y Argumentación: TEMA-4.pdf
He publicado nuevos apuntes de 1º Pensamiento Critico, Discurso y Argumentación: TEMA-1-pensamiento.pdf
