
Grado en Nutrición Humana y Dietética (UCAM)
Guadalupe
Asignaturas de Grado en Nutrición Humana y Dietética (UCAM)
Asignatura
arrow_downward2º
•
0 posts
3º
•
0 posts
3º
•
0 posts
1º
•
14 posts
1º
•
2 posts
1º
•
1 posts
2º
•
0 posts
1º
•
1 posts
3º
•
0 posts
2º
•
0 posts
3º
•
0 posts
4º
•
0 posts
2º
•
0 posts
3º
•
0 posts
4º
•
0 posts
1º
•
8 posts
2º
•
0 posts
3º
•
0 posts
1º
•
0 posts
2º
•
0 posts
3º
•
0 posts
2º
•
0 posts
3º
•
23 posts
1º
•
2 posts
2º
•
0 posts
3º
•
0 posts
3º
•
0 posts
2º
•
3 posts
4º
•
0 posts
4º
•
0 posts
2º
•
0 posts
1º
•
3 posts
1º
•
1 posts
3º
•
0 posts
3º
•
0 posts
4º
•
1 posts
3º
•
0 posts
1º
•
3 posts
2º
•
0 posts
4º
•
0 posts
Últimas publicaciones de Grado en Nutrición Humana y Dietética (UCAM)
*Posibles* preguntas del segundo parcial de microbiología alimentaria. temas 6-10
Temario resumido de lo que el profesor de nuestro año dijo que *podría* salir.
He publicado nuevos apuntes de 4º Tecnología Culinaria: CUADERNILLO-DE-PRACTICAS-tecno.pdf
trabajos
-
Tareas
He publicado nuevos trabajos de 1º Teologia: Tareas
He publicado nuevos practicas de 1º Química y Bioquímica de Alimentos: CamScanner-03-20-2022-16.pdf
trabajos
-
Tareas estadística
He publicado nuevos trabajos de 1º Estadística: Tareas estadística
ejercicios
-
Tareas bromatologia
He publicado nuevos ejercicios de 1º Bromatología: Tareas bromatologia
ejercicios
-
Tareas bioquímica
He publicado nuevos ejercicios de 1º Bioquímica: Tareas bioquímica
ejercicios
-
Tareas biologia celular
He publicado nuevos ejercicios de 1º Biología Celular: Tareas biologia celular
apuntes
-
2 parcial teologia
He publicado nuevos apuntes de 1º Teologia: 2 parcial teologia
practicas
-
ANATOMÍA
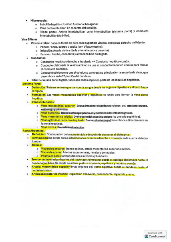
He publicado nuevos practicas de 1º Anatomía: ANATOMÍA
He publicado nuevos apuntes de 1º Química General: BIOMECANICA-SEGUNDO-PARCIAL.pdf
He publicado nuevos apuntes de 3º Humanidades: T11-LA-ARQUITECTURA.pdf
He publicado nuevos apuntes de 3º Humanidades: T10-APROPIACIONES-E-INFLUENCIAS-DE-LA-ANTIGUEDAD.pdf
He publicado nuevos apuntes de 3º Humanidades: T9-SISTEMAS-POLITICOS.pdf
He publicado nuevos apuntes de 3º Humanidades: T8-GEO-E-IDENTIDADES-PROX-ORIENTE-MEDIO.pdf
He publicado nuevos apuntes de 3º Humanidades: T7-JUSTICIA-DIVINA-Y-NACIMIENTO-DCHO.pdf
He publicado nuevos apuntes de 3º Humanidades: T6-CARACT-FINITO-Y-LA-TRANSCENDENCIA.pdf
He publicado nuevos apuntes de 3º Humanidades: T5-MITOLOGIA-GRIEGA-Y-SU-INFLUENCIA.pdf
He publicado nuevos apuntes de 3º Humanidades: T4-BIBLIA-Y-RAICES-JUDIAS.pdf
He publicado nuevos apuntes de 3º Humanidades: T3-REDESCUBRIMIENTOS-Y-SU-INFLUENCIA.pdf
He publicado nuevos apuntes de 3º Humanidades: T2-FILOSOFIA-Y-EL-PENSAMIENTO-CIENTIFICO.pdf
He publicado nuevos apuntes de 3º Humanidades: TEMA-1-LAS-PRIMERAS-ESCRITURAS.pdf
He publicado nuevos apuntes de 3º Humanidades: UNIDAD-4-TEMA-13-LA-PINTURA.pdf
apuntes
-
QUIMICA 2° parcial
He publicado nuevos apuntes de 1º Química General: QUIMICA 2° parcial
apuntes
-
QUIMICA 1° parcial
He publicado nuevos apuntes de 1º Química General: QUIMICA 1° parcial
apuntes
-
RESUMENES Y APUNTES
He publicado nuevos apuntes de 1º Estadística: RESUMENES Y APUNTES