
Doble Grado en Ingeniería Mecánica e Ingeniería de Automoción (UEM)
Madrid
Asignaturas de Doble Grado en Ingeniería Mecánica e Ingeniería de Automoción (UEM)
Asignatura
arrow_downward1º
•
0 posts
1º
•
1 posts
1º
•
0 posts
3º
•
0 posts
3º
•
0 posts
1º
•
0 posts
3º
•
0 posts
3º
•
0 posts
3º
•
2 posts
2º
•
0 posts
1º
•
0 posts
1º
•
0 posts
1º
•
7 posts
2º
•
1 posts
2º
•
0 posts
2º
•
0 posts
3º
•
0 posts
3º
•
0 posts
2º
•
3 posts
4º
•
0 posts
4º
•
0 posts
4º
•
0 posts
3º
•
0 posts
3º
•
1 posts
3º
•
0 posts
1º
•
1 posts
3º
•
0 posts
2º
•
1 posts
4º
•
0 posts
Últimas publicaciones de Doble Grado en Ingeniería Mecánica e Ingeniería de Automoción (UEM)
ejercicios
-
EJERCICIOS RESUELTOS 1
He publicado nuevos ejercicios de 2º Mecánica de Fluidos: EJERCICIOS RESUELTOS 1
He publicado nuevos apuntes de 2º Mecánica de Fluidos: Formulario-fluidos-personal.pdf
He publicado nuevos apuntes de 2º Proyecto Integrador: Automatismos y Control: RESUMEN-DE-TEORIA.pdf
He publicado nuevos apuntes de 2º Proyecto Integrador: Automatismos y Control: RESUMEN-EXAMEN-Red-de-Petri.pdf
He publicado nuevos apuntes de 2º Proyecto Integrador: Automatismos y Control: RESUMEN-EXAMEN-Contadores-y-temporizadores-.pdf
ejercicios
-
EJERCICIOS DE ROBOTS
He publicado nuevos ejercicios de 2º Proyecto Integrador: Automatismos y Control: EJERCICIOS DE ROBOTS
He publicado nuevos ejercicios de 1º Física Mecánica: Ejemplos-de-poleas-con-masas.pdf
apuntes
-
APUNTES POR TEMAS
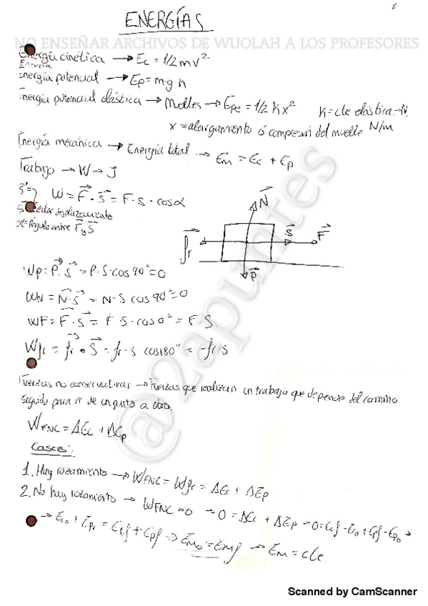
He publicado nuevos apuntes de 1º Física Mecánica: APUNTES POR TEMAS
He publicado nuevos apuntes de 1º Física Mecánica: FORMULARIO-FISICA.pdf
He publicado nuevos apuntes de 1º Física Mecánica: Apuntes-fisica-resumen-completo.pdf
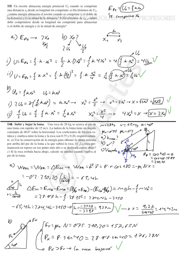
He publicado nuevos ejercicios de 1º Física Mecánica: Ejercicios-tipo-EXAMEN.pdf
He publicado nuevos apuntes de 1º Física Mecánica: apuntes-teoria-de-medida.pdf
apuntes
-
Trasferencia de calor
He publicado nuevos apuntes de 2º Termodinámica y Transmisión de Calor: Trasferencia de calor
apuntes
-
Elasticidad
He publicado nuevos apuntes de 3º Elasticidad y Resistencia de Materiales: Elasticidad
apuntes
-
Estructuras
He publicado nuevos apuntes de 3º Elasticidad y Resistencia de Materiales: Estructuras
apuntes
-
Electrónica
He publicado nuevos apuntes de 2º Fundamentos de Electrónica: Electrónica
apuntes
-
Eléctrica
He publicado nuevos apuntes de 2º Teoria de Circuitos y Maquinas Electricas: Eléctrica
apuntes
-
Fluidomecánica
He publicado nuevos apuntes de 2º Mecánica de Fluidos: Fluidomecánica
apuntes
-
Física
He publicado nuevos apuntes de 1º Química para la Ingeniería: Física
apuntes
-
Física
He publicado nuevos apuntes de 1º Física Mecánica: Física
apuntes
-
Cálculo
He publicado nuevos apuntes de 1º Cálculo I: Cálculo