
Doble Grado en Administración y Dirección de Empresas y Derecho (ULOYOLA)
Sevilla
Sube tus apuntes
arrow_forwardAsignaturas de Doble Grado en Administración y Dirección de Empresas y Derecho (ULOYOLA)
Asignatura
arrow_downward3º
•
0 posts
4º
•
0 posts
1º
•
108 posts
2º
•
4 posts
1º
•
0 posts
3º
•
0 posts
2º
•
13 posts
5º
•
1 posts
5º
•
0 posts
5º
•
0 posts
2º
•
12 posts
3º
•
4 posts
5º
•
0 posts
2º
•
11 posts
2º
•
22 posts
4º
•
1 posts
4º
•
1 posts
4º
•
1 posts
4º
•
5 posts
1º
•
7 posts
1º
•
26 posts
3º
•
0 posts
5º
•
0 posts
4º
•
0 posts
1º
•
12 posts
5º
•
1 posts
4º
•
2 posts
3º
•
0 posts
4º
•
0 posts
1º
•
4 posts
2º
•
13 posts
1º
•
4 posts
2º
•
16 posts
1º
•
11 posts
2º
•
0 posts
2º
•
14 posts
2º
•
2 posts
2º
•
13 posts
3º
•
0 posts
1º
•
0 posts
1º
•
30 posts
5º
•
0 posts
5º
•
0 posts
4º
•
0 posts
5º
•
2 posts
4º
•
0 posts
3º
•
5 posts
4º
•
13 posts
5º
•
1 posts
Últimas publicaciones de Doble Grado en Administración y Dirección de Empresas y Derecho (ULOYOLA)
Incluye Apuntes TEMAS 4 - 8 + Textos Examen Curso 24/25 Selección de Preguntas del Profesor Preguntas Confirmadas del Examen Sobresaliente
He publicado nuevos apuntes de 2º Información Financiera y Análisis: Parcial-I-Info-Financiera.pdf
He publicado nuevos apuntes de 2º Información Financiera y Análisis: Apuntes-Final-Info-Financiera.pdf
Apuntes 24/25 Parcial Laboral TEMAS 1 - 7 Sacados del Libro - ÚLTIMA EDICIÓN
Apuntes 24/25 Final Laboral TEMAS 10 y 12 + Caso Práctico Incluye También Temas 6 y 7 de Refuerzo para el Caso Sacados del Libro - ÚLTIMA EDICIÓN
Preparado para TODOS los Temas que Puedan Salir en el Examen Contienen Estructura PARTE A PARTE 10 TEMAS - Cada Uno Ocupa 1 Página PERFECTO PARA HACER EL EXAMEN
He publicado nuevos apuntes de 2º Derecho Eclesiástico del Estado: Apuntes-Examen-1-Eclesiastico.pdf
He publicado nuevos apuntes de 2º Derecho Eclesiástico del Estado: Apuntes-Examen-2-Eclesiastico.pdf
He publicado nuevos examenes de 2º Instituciones y Derecho de la Unión Europea: TIPO-TEST-EUROPEO.pdf
He publicado nuevos examenes de 2º Instituciones y Derecho de la Unión Europea: Parcial-EUROPEO.pdf
Apuntes + Soluciones de Ejercicios Preparado para Aprobar Parte Práctica Examen Incluye: - Tema 1. Introducción al Marketing - Orientaciones del Marketing - Tema 2. Entorno de Marketing - Ejercicio Segmentación - Tema 3. Comportamiento de compra del consu
Ejercicios Resueltos Medios Pagados Incluye Respuestas Tipo Examen Corregido 27 Ejercicios Tema 5. La comunicación comercial
Ejercicios Resueltos Medios Propios Incluye Respuestas Tipo Examen Corregido 27 Ejercicios Tema 5. La comunicación comercial
Incluye Explicaciones de cada Ejercicio Cálculos de Demanda Corregido Tema 2. Entorno de Marketing
He publicado nuevos apuntes de 4º Titulos Valores y Derecho Concursal: APUNTES-PARCIAL-TTVV.pdf
He publicado nuevos apuntes de 3º Delitos contra el Estado, el Orden Público y los Intereses Generales: TEMA-4-PENAL.docx
He publicado nuevos apuntes de 3º Delitos contra el Estado, el Orden Público y los Intereses Generales: TEMA-3-PENAL.docx
He publicado nuevos apuntes de 3º Delitos contra el Estado, el Orden Público y los Intereses Generales: TEMA-2-PENAL.docx
He publicado nuevos apuntes de 3º Delitos contra el Estado, el Orden Público y los Intereses Generales: TEMA-5-PENAL.docx
He publicado nuevos apuntes de 3º Delitos contra el Estado, el Orden Público y los Intereses Generales: CASOS-PRACTICOS.docx
He publicado nuevos apuntes de 3º Delitos contra el Estado, el Orden Público y los Intereses Generales: TEMA-6-PENAL.docx
He publicado nuevos apuntes de 3º Delitos contra el Estado, el Orden Público y los Intereses Generales: TEMA-7-PENAL.docx
He publicado nuevos apuntes de 3º Delitos contra el Estado, el Orden Público y los Intereses Generales: TEMA-1-PENAL.docx
He publicado nuevos examenes de 1º Fundamentos de Contabilidad Financiera: Examen-Parcial-2.pdf
He publicado nuevos apuntes de 1º Fundamentos de Contabilidad Financiera: Apuntes-Parcial-3.pdf
He publicado nuevos apuntes de 1º Fundamentos de Contabilidad Financiera: Ejercicio-de-repaso-Parcial-2.pdf
He publicado nuevos examenes de 1º Fundamentos de Contabilidad Financiera: Respuestas-Test-Parcial-1.pdf
He publicado nuevos practicas de 1º Persona, Patrimonio y Negocio Jurídico: Practica-Tema-14-Civil.pdf
He publicado nuevos practicas de 1º Persona, Patrimonio y Negocio Jurídico: Practica-Tema-13-Civil.pdf
He publicado nuevos practicas de 1º Persona, Patrimonio y Negocio Jurídico: Practica-Tema-12-Civil.pdf
He publicado nuevos practicas de 1º Persona, Patrimonio y Negocio Jurídico: Practica-Tema-8-Civil.pdf
He publicado nuevos practicas de 1º Persona, Patrimonio y Negocio Jurídico: Practica-Tema-7-Civil.pdf
He publicado nuevos practicas de 1º Persona, Patrimonio y Negocio Jurídico: Practica-Tema-6-Civil.pdf
He publicado nuevos practicas de 1º Persona, Patrimonio y Negocio Jurídico: Practica-Tema-5-Civil.pdf
He publicado nuevos practicas de 1º Persona, Patrimonio y Negocio Jurídico: Practica-Tema-4-Civil.pdf
He publicado nuevos practicas de 1º Persona, Patrimonio y Negocio Jurídico: Practica-Tema-3-Civil.pdf
He publicado nuevos practicas de 1º Persona, Patrimonio y Negocio Jurídico: Practica-Tema-2-Civil.pdf
He publicado nuevos practicas de 1º Persona, Patrimonio y Negocio Jurídico: Practica-Tema-1-Civil.pdf
He publicado nuevos test de 1º Economía I - Personas y Empresas: Tema-7-preguntas.pdf
He publicado nuevos apuntes de 1º Economía I - Personas y Empresas: Tema-5-Eco.pdf
He publicado nuevos apuntes de 1º Economía Financiera: La-Gran-Apuesta-Informe.pdf
He publicado nuevos apuntes de 4º Titulos Valores y Derecho Concursal: APUNTES-FINAL-DERECHO-CONCURSAL.pdf
examenes
-
Examenes de Repaso
He publicado nuevos examenes de 1º Economía I - Personas y Empresas: Examenes de Repaso
He publicado nuevos ejercicios de 2º Organización Constitucional y Territorial del Estado: CUESTIONES-CONSTITUCIONAL-II.pdf
He publicado nuevos apuntes de 2º Organización Constitucional y Territorial del Estado: CONSTITUCIONAL-II-apuntes.pdf
apuntes
-
DERECHO PENAL TODOS LOS TEMAS
He publicado nuevos apuntes de 3º Teoría Jurídica del Delito: DERECHO PENAL TODOS LOS TEMAS
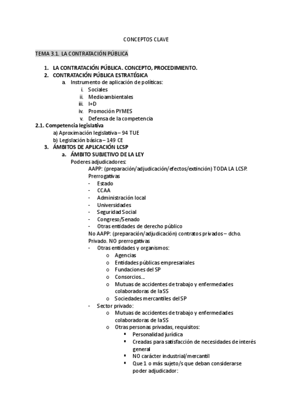
He publicado nuevos apuntes de 3º Función Pública, Bienes Públicos y Garantías de los Ciudadanos: CONCEPTOS-CLAVET3-T7.pdf
He publicado nuevos apuntes de 3º Obligaciones, Contratos y Responsabilidad Extracontractual: Contratos-y-Obligaciones-Civil-II-Loyola.pdf
apuntes
-
Parcial Economía
Apuntes TEMAS 1-4 RESUMEN
He publicado nuevos apuntes de 1º Persona, Patrimonio y Negocio Jurídico: tema-9-civil-tablas-IMPORTANTE.pdf
He publicado nuevos apuntes de 1º Persona, Patrimonio y Negocio Jurídico: tema-6-civil.pdf
He publicado nuevos apuntes de 1º Persona, Patrimonio y Negocio Jurídico: Tema-1.-Persona-Patrimonio-y-Negocio-Juridico.pdf