
Asignaturas de Grado en Matemáticas (UM)
Asignatura
arrow_downward4º
•
4 posts
1º
•
7 posts
1º
•
6 posts
4º
•
0 posts
2º
•
15 posts
4º
•
5 posts
2º
•
1 posts
2º
•
6 posts
4º
•
1 posts
1º
•
19 posts
3º
•
17 posts
2º
•
4 posts
1º
•
17 posts
4º
•
1 posts
1º
•
11 posts
1º
•
12 posts
1º
•
10 posts
3º
•
8 posts
2º
•
8 posts
2º
•
10 posts
2º
•
24 posts
4º
•
0 posts
1º
•
14 posts
1º
•
4 posts
3º
•
11 posts
4º
•
2 posts
3º
•
1 posts
4º
•
2 posts
3º
•
2 posts
2º
•
3 posts
4º
•
15 posts
1º
•
5 posts
3º
•
0 posts
4º
•
0 posts
2º
•
13 posts
4º
•
2 posts
1º
•
0 posts
2º
•
1 posts
3º
•
1 posts
1º
•
23 posts
2º
•
9 posts
4º
•
1 posts
Últimas publicaciones de Grado en Matemáticas (UM)
He publicado nuevos apuntes de 2º Ampliación de Álgebra Lineal y Geometría: Guía resolucion ejercicios Cónicas.pdf.pdf
apuntes
-
Temario 24-25
Apuntes basados en el libro de H.A. Priestley
Basadas en las grabaciones de Alberto del Valle y las transparencias de Pedro.
He publicado nuevos apuntes de 1º Conjuntos y Números: Esquemas-conjuntos.pdf
He publicado nuevos apuntes de 1º Introducción Al Software Científico y a la Programación: FP-2024-2025-Boletin-3.pdf
He publicado nuevos apuntes de 1º Topología de Espacios Métricos: Esquemas-topologia.pdf
He publicado nuevos apuntes de 1º Geometría afín y euclídea: Esquemas-geometria.pdf
He publicado nuevos apuntes de 1º Introducción Al Software Científico y a la Programación: Funciones-programacion.pdf
He publicado nuevos apuntes de 1º Funciones de una Variable Real II: Esquemas-funciones-2-cuatri.pdf
He publicado nuevos apuntes de 1º Introducción Al Software Científico y a la Programación: FP-2024-2025-Boletin-1.pdf
He publicado nuevos apuntes de 1º Geometría afín y euclídea: Teoria-en-examenes250512190324.pdf
He publicado nuevos apuntes de 1º Topología de Espacios Métricos: Teoremas-topologia250517063026.pdf
He publicado nuevos apuntes de 1º Introducción al Método Matemático: Baloncesto241011003211.pdf
He publicado nuevos apuntes de 1º Introducción al Método Matemático: Induccion241011002346.pdf
He publicado nuevos apuntes de 1º Introducción al Método Matemático: Tautologias241011000828.pdf
He publicado nuevos apuntes de 1º Conjuntos y Números: Capitulo-3241012184813.pdf
He publicado nuevos apuntes de 1º Funciones de una Variable Real I: Teoria-1-examen250105231048.pdf
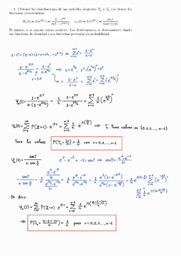
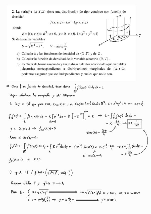
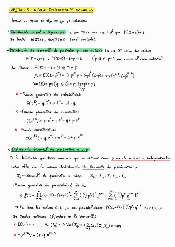
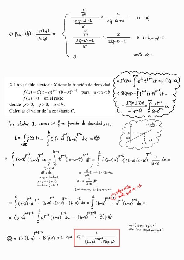
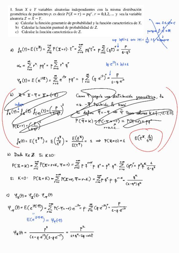
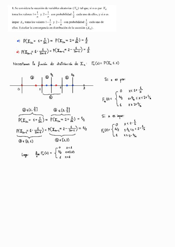
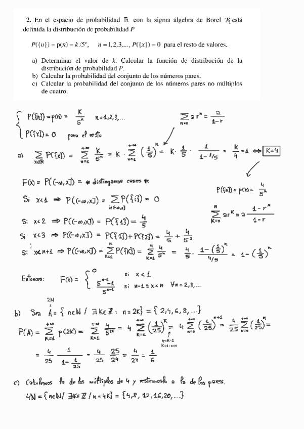
He publicado nuevos apuntes de 1º Elementos de Probabilidad y Estadística: Tema-5250427215943.pdf
He publicado nuevos apuntes de 1º Elementos de Probabilidad y Estadística: Tema-4250427212443.pdf
He publicado nuevos apuntes de 1º Elementos de Probabilidad y Estadística: Tema-3250427171557.pdf
He publicado nuevos apuntes de 1º Elementos de Probabilidad y Estadística: Tema-2250427193858.pdf
He publicado nuevos apuntes de 1º Elementos de Probabilidad y Estadística: Tema-1250427193129.pdf
He publicado nuevos apuntes de 1º Elementos de Probabilidad y Estadística: Tema-6250427200106.pdf
He publicado nuevos apuntes de 1º Elementos de Probabilidad y Estadística: Tema-7250427195905.pdf
He publicado nuevos apuntes de 1º Funciones de una Variable Real II: Teoria-2-examen250520201405.pdf
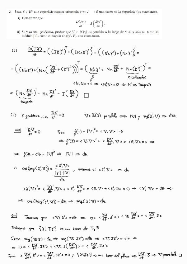
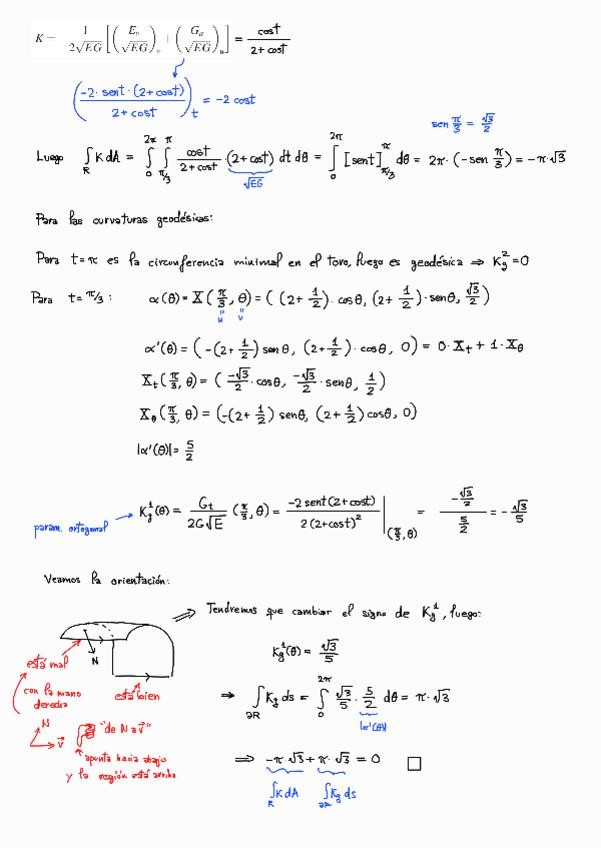
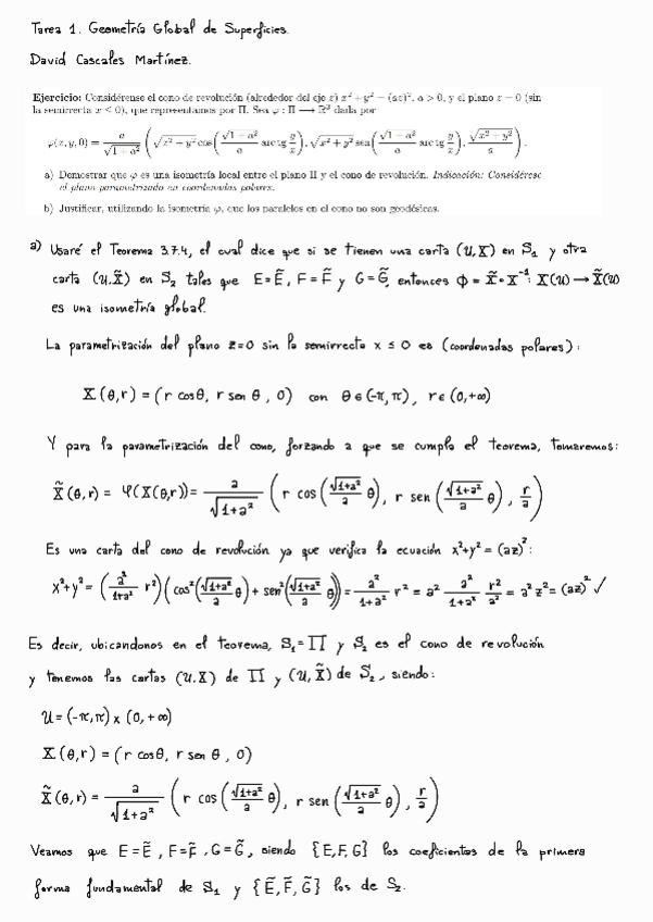
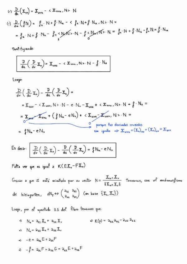
He publicado nuevos apuntes de 3º Geometría global de superficies: apuntes-24-25.pdf
examenes
-
Tests resueltos
Función inversa e implícta, integración sobre curvas, integración sobre superficies.
He publicado nuevos examenes de 2º Topología de superficies: Parcial marzo 2025 RESUELTO.pdf
apuntes
-
Apuntes 2024-2025
He publicado nuevos apuntes de 2º Funciones de Varias Variables I: Apuntes 2024-2025
apuntes
-
Demostraciones Varias I
Corregidas por Víctor
apuntes
-
Temario 24-25
He publicado nuevos apuntes de 3º Geometría de Curvas y Superficies: Temario 24-25
Ejercicios Exámenes Conjuntos
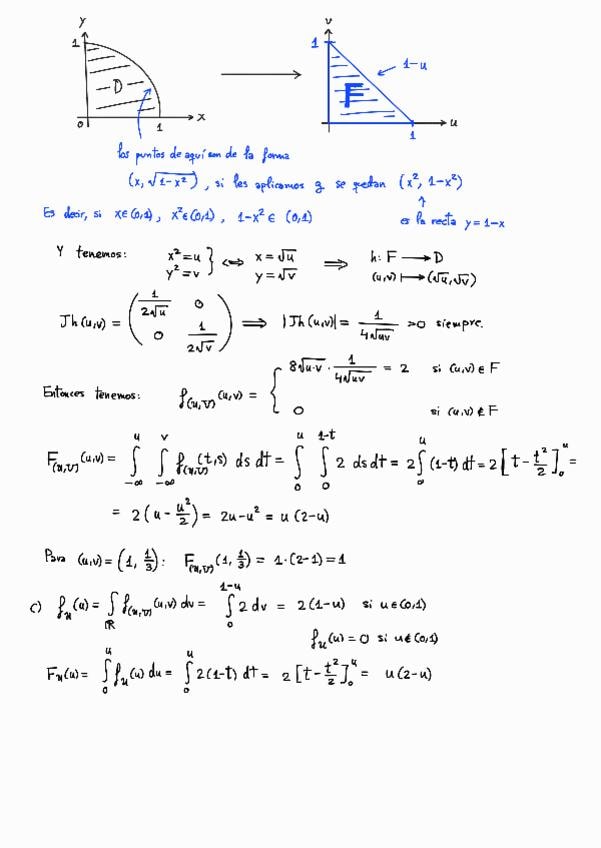
He publicado nuevos ejercicios de 2º Funciones de Varias Variables III: areas-de-superficiesejerciciosseccion-12.6.pdf
He publicado nuevos ejercicios de 2º Funciones de Varias Variables III: teorema-funcion-implicitaejerciciosseccion-9.8.pdf
He publicado nuevos ejercicios de 2º Funciones de Varias Variables III: maximos-minimos-puntos-de-ensilladura-y-matriz-hessianaejerciciosseccion-9.13.pdf
He publicado nuevos ejercicios de 2º Funciones de Varias Variables III: metodo-de-Lagrangeejerciciosseccion-9.15.pdf
He publicado nuevos apuntes de 2º Funciones de Varias Variables III: integrales-de-linea.pdf
He publicado nuevos ejercicios de 2º Funciones de Varias Variables III: integrales-de-lineaejerciciosseccion-10.5.pdf
He publicado nuevos ejercicios de 2º Funciones de Varias Variables III: masa-centro-de-gravedad-e-inercia-trabajoejerciciosseccion-10.9.pdf
He publicado nuevos ejercicios de 2º Funciones de Varias Variables III: de-parametricas-a-cartesianasejerciciosseccion-12.4.pdf
He publicado nuevos apuntes de 2º Funciones de Varias Variables III: teorema-de-la-funcion-inversa-e-implicita.pdf
He publicado nuevos apuntes de 2º Funciones de Varias Variables III: integrales-de-superficies.pdf
He publicado nuevos ejercicios de 2º Funciones de Varias Variables III: teorema-de-green-donde-hay-mas-de-una-curva-de-Jordanejerciciosseccion-11.25.pdf
He publicado nuevos ejercicios de 2º Funciones de Varias Variables III: gradientesejerciciosseccion-10.18.pdf
He publicado nuevos ejercicios de 2º Funciones de Varias Variables III: teorema-de-greenejerciciosseccion-11.22.pdf
He publicado nuevos examenes de 2º Funciones de Varias Variables III: examenes-2.pdf
He publicado nuevos ejercicios de 2º Funciones de Varias Variables III: gradiente-y-funcion-potencial-c.-convexosejerciciosseccion-10.13.pdf
He publicado nuevos apuntes de 2º Funciones de Varias Variables III: parametrizacion-de-curvas-y-superficiesnotas.pdf
He publicado nuevos apuntes de 2º Funciones de Varias Variables III: resumen-de-contenido-importante.pdf
He publicado nuevos ejercicios de 2º Funciones de Varias Variables III: teorema-de-stokes-y-divergenciaejerciciosseccion-12.21.pdf
He publicado nuevos ejercicios de 2º Funciones de Varias Variables III: teorema-de-stokesejerciciosseccion-12.13.pdf
He publicado nuevos ejercicios de 2º Funciones de Varias Variables III: integrales-de-superficiesejerciciosseccion-12.10.pdf
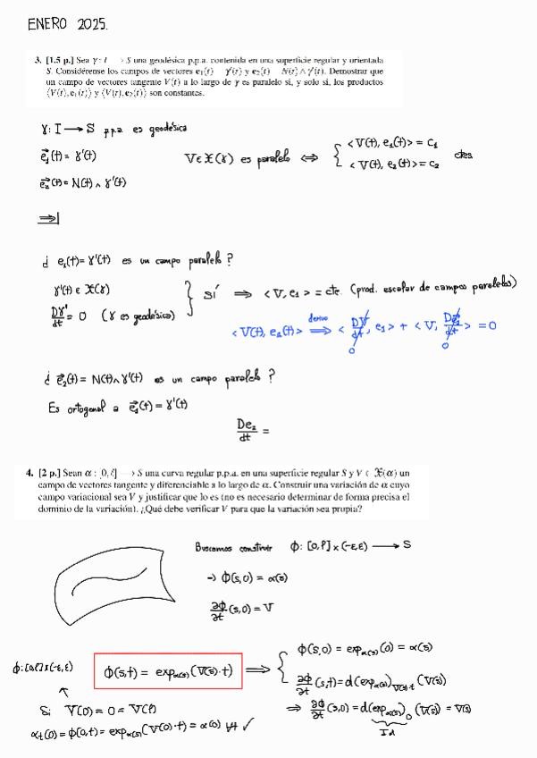
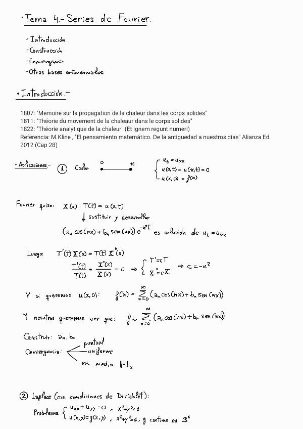
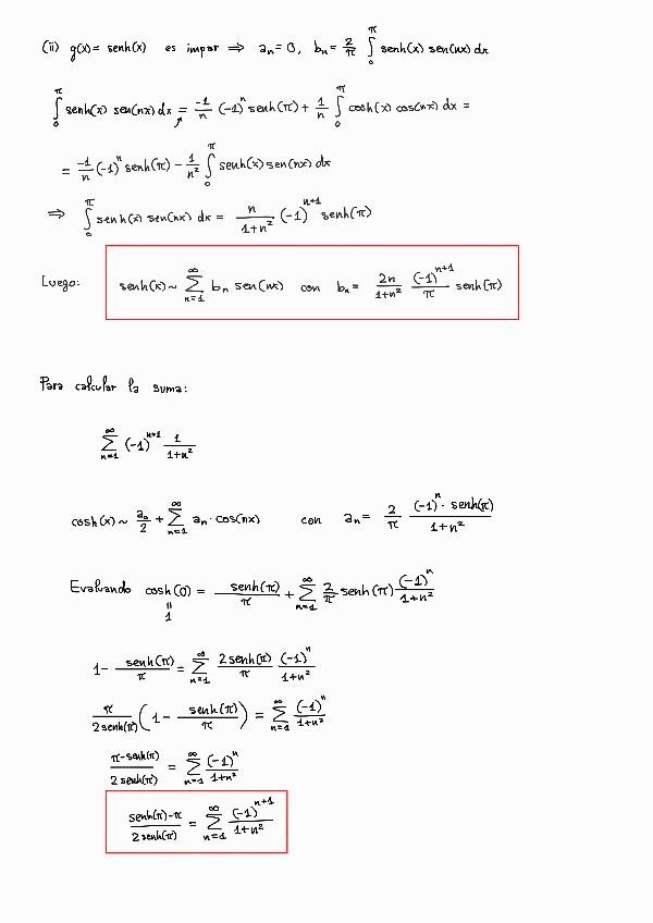
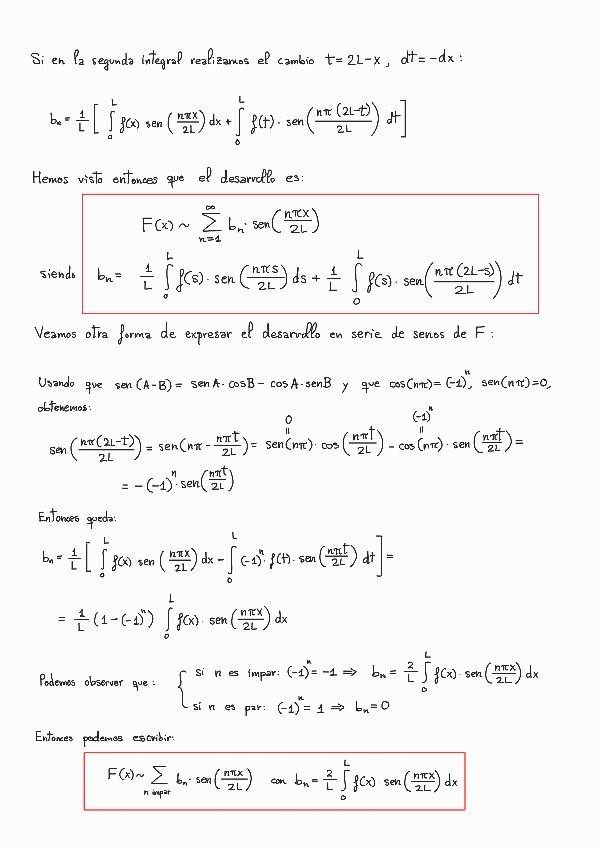
He publicado nuevos examenes de 3º Ecuaciones en Derivadas Parciales y Series de Fourier: examenes-1.pdf
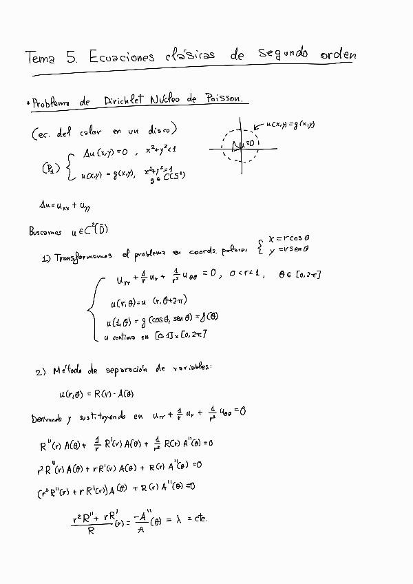
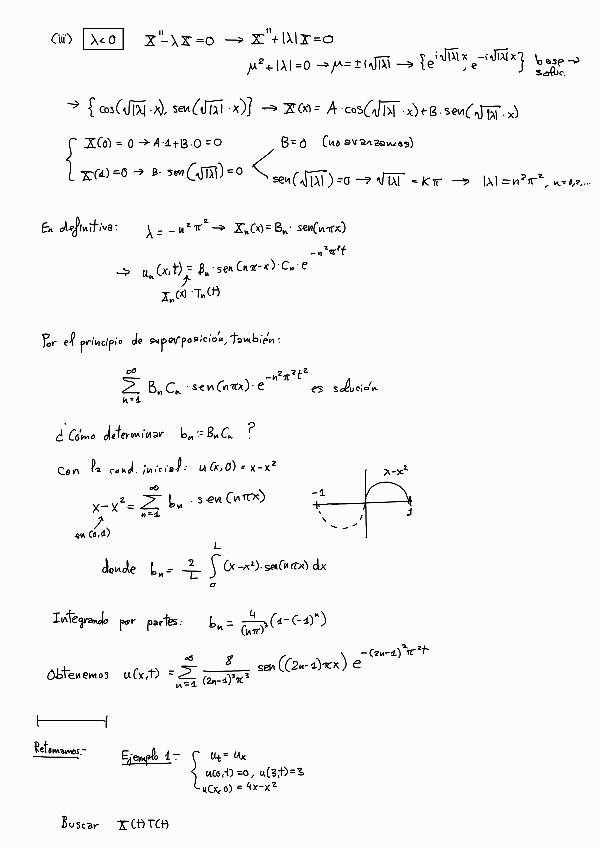
He publicado nuevos apuntes de 3º Ecuaciones en Derivadas Parciales y Series de Fourier: la-ecuacion-de-ondas.pdf
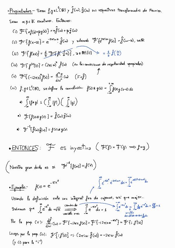
He publicado nuevos apuntes de 3º Ecuaciones en Derivadas Parciales y Series de Fourier: ecuacion-de-Laplace-y-problemas-relacionados-y-transformada-de-fourier.pdf
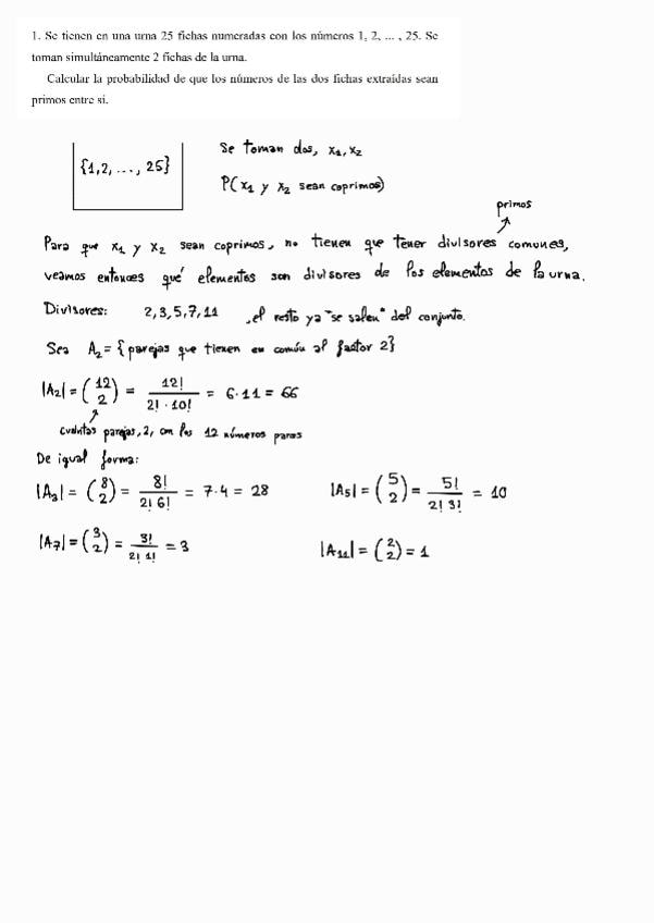
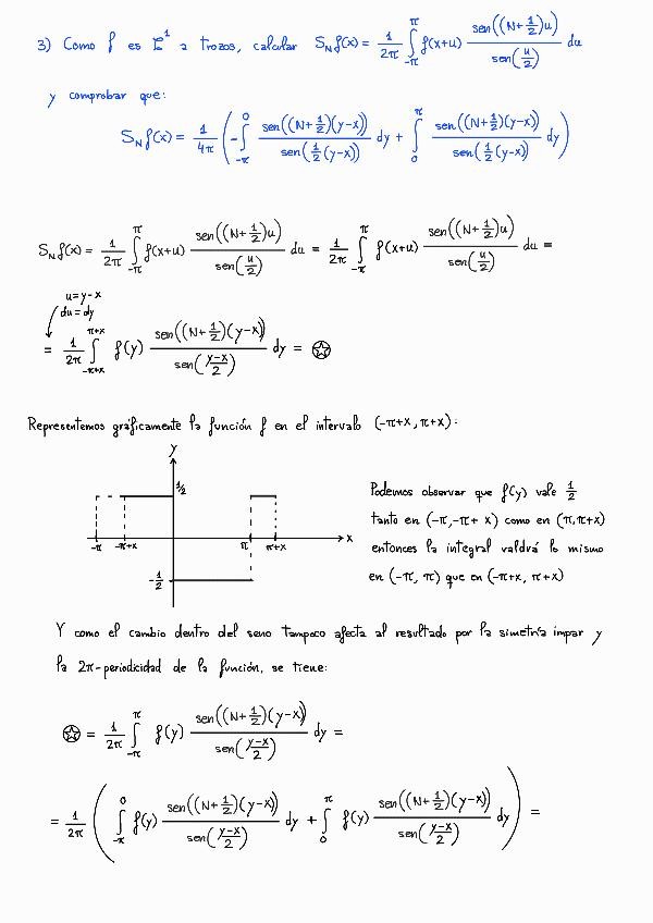
He publicado nuevos ejercicios de 3º Ecuaciones en Derivadas Parciales y Series de Fourier: ejercicios.pdf
He publicado nuevos apuntes de 3º Ecuaciones en Derivadas Parciales y Series de Fourier: ecuaciones-derivadas-parciales-primer-orden.pdf
He publicado nuevos apuntes de 3º Ecuaciones en Derivadas Parciales y Series de Fourier: la-ecuacion-del-calor.pdf
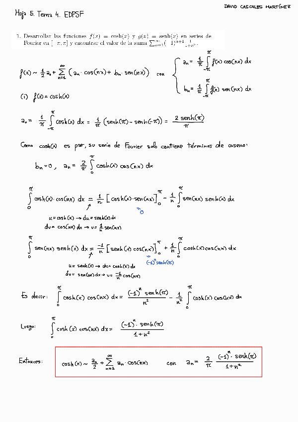
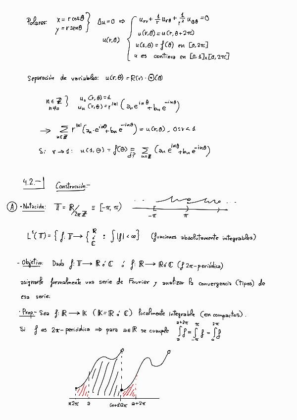
He publicado nuevos apuntes de 3º Ecuaciones en Derivadas Parciales y Series de Fourier: series-de-fourier.pdf