
Doble Grado en Ingeniería Electrónica Industrial e Ingeniería Eléctrica (UMA)
Málaga
Asignaturas de Doble Grado en Ingeniería Electrónica Industrial e Ingeniería Eléctrica (UMA)
Asignatura
arrow_downward3º
•
0 posts
4º
•
0 posts
1º
•
12 posts
1º
•
9 posts
3º
•
3 posts
1º
•
6 posts
2º
•
7 posts
4º
•
0 posts
1º
•
3 posts
4º
•
0 posts
2º
•
5 posts
5º
•
1 posts
5º
•
1 posts
3º
•
1 posts
4º
•
1 posts
5º
•
1 posts
3º
•
0 posts
4º
•
2 posts
5º
•
0 posts
1º
•
8 posts
1º
•
6 posts
1º
•
10 posts
2º
•
9 posts
1º
•
9 posts
2º
•
11 posts
1º
•
6 posts
4º
•
0 posts
2º
•
6 posts
3º
•
4 posts
4º
•
0 posts
5º
•
0 posts
3º
•
10 posts
3º
•
3 posts
2º
•
2 posts
3º
•
0 posts
3º
•
1 posts
1º
•
7 posts
3º
•
1 posts
2º
•
5 posts
4º
•
0 posts
5º
•
0 posts
2º
•
11 posts
2º
•
19 posts
4º
•
0 posts
5º
•
0 posts
Últimas publicaciones de Doble Grado en Ingeniería Electrónica Industrial e Ingeniería Eléctrica (UMA)
He publicado nuevos apuntes de 2º Termotecnia: TransferenciaDeCaloryMasa4taedCen.pdf
He publicado nuevos apuntes de 1º Ampliación de Cálculo: T.3-Integracion-doble-superficial-TaStok-1.pdf
He publicado nuevos apuntes de 1º Ampliación de Cálculo: T.2Integra-doble-TaGreenRieman.pdf
He publicado nuevos ejercicios de 1º Ampliación de Cálculo: T.1-Integra-linea-Potencial-Ejercicios.pdf
apuntes
-
Temario
He publicado nuevos apuntes de 1º Expresión Gráfica: Temario
He publicado nuevos apuntes de 1º Expresión Gráfica: TODO EL CONTENIDO DE EXPRESIÓN GRÁFICA.pdf
examenes
-
Test 2 años anteriores
He publicado nuevos examenes de 1º Fundamentos de Informática: Test 2 años anteriores
examenes
-
Test 1 años anteriores
He publicado nuevos examenes de 1º Fundamentos de Informática: Test 1 años anteriores
apuntes
-
Temas 1-5 informática
He publicado nuevos apuntes de 1º Fundamentos de Informática: Temas 1-5 informática
practicas
-
Prácticas Física 1
He publicado nuevos practicas de 1º Física 1: Prácticas Física 1
ejercicios
-
Exámenes resueltos 2
He publicado nuevos ejercicios de 1º Química: Exámenes resueltos 2
ejercicios
-
Exámenes resueltos 1
He publicado nuevos ejercicios de 1º Química: Exámenes resueltos 1
examenes
-
RESUELTO MAQUINA SINCRONA
He publicado nuevos examenes de 3º Máquinas Eléctricas 2: RESUELTO MAQUINA SINCRONA
ejercicios
-
SESIONES TUTORIZADAS
He publicado nuevos ejercicios de 3º Máquinas Eléctricas 2: SESIONES TUTORIZADAS
ejercicios
-
EJERCICIOS DC
He publicado nuevos ejercicios de 3º Máquinas Eléctricas 2: EJERCICIOS DC
apuntes
-
RELACIONES EJERCICIOS
He publicado nuevos apuntes de 2º Ciencia de los Materiales: RELACIONES EJERCICIOS
He publicado nuevos practicas de 2º Fundamentos de Ingeniería Eléctrica: Practica-3.pdf
He publicado nuevos practicas de 2º Fundamentos de Ingeniería Eléctrica: Practica-4.pdf
He publicado nuevos practicas de 2º Fundamentos de Ingeniería Eléctrica: Practica-2.pdf
He publicado nuevos practicas de 2º Fundamentos de Ingeniería Eléctrica: Practica-1.pdf
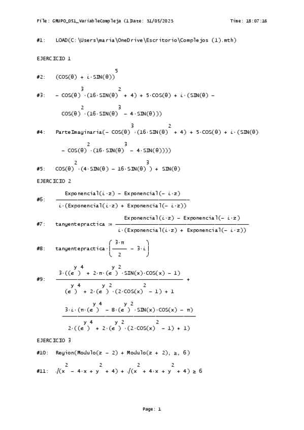
He publicado nuevos practicas de 1º Ampliación de Cálculo: Derive-variable-compleja-2023.pdf
examenes
-
Examenes Circuitos Integrados
He publicado nuevos examenes de 5º Circuitos Integrados: Examenes Circuitos Integrados
He publicado nuevos ejercicios de 3º Análisis de Redes Eléctricas: Relacion-Resonancia.pdf
examenes
-
Exámenes Finales Resueltos
He publicado nuevos examenes de 1º Física 2: Exámenes Finales Resueltos
examenes
-
2ºs Parciales Resueltos
He publicado nuevos examenes de 1º Física 2: 2ºs Parciales Resueltos
examenes
-
1ºs Parciales Resueltos
He publicado nuevos examenes de 1º Física 2: 1ºs Parciales Resueltos
examenes
-
Exámenes Finales RESUELTOS
He publicado nuevos examenes de 1º Física 1: Exámenes Finales RESUELTOS
examenes
-
2ºs Parciales RESUELTOS
He publicado nuevos examenes de 1º Física 1: 2ºs Parciales RESUELTOS
examenes
-
1ºs Parciales RESUELTOS
He publicado nuevos examenes de 1º Física 1: 1ºs Parciales RESUELTOS
examenes
-
Exámenes Finales RESUELTOS
He publicado nuevos examenes de 1º Álgebra Lineal: Exámenes Finales RESUELTOS