
Grado en Ingeniería en Tecnologías y Servicios de Telecomunicación (UNIOVI)
Gijón
Asignaturas de Grado en Ingeniería en Tecnologías y Servicios de Telecomunicación (UNIOVI)
Asignatura
arrow_downward1º
•
4 posts
1º
•
11 posts
4º
•
0 posts
2º
•
1 posts
1º
•
6 posts
3º
•
0 posts
4º
•
3 posts
3º
•
0 posts
4º
•
0 posts
4º
•
0 posts
3º
•
3 posts
4º
•
0 posts
4º
•
0 posts
4º
•
0 posts
4º
•
0 posts
4º
•
0 posts
1º
•
28 posts
4º
•
0 posts
2º
•
2 posts
1º
•
3 posts
1º
•
18 posts
2º
•
43 posts
1º
•
1 posts
2º
•
9 posts
4º
•
4 posts
4º
•
2 posts
4º
•
0 posts
3º
•
0 posts
3º
•
12 posts
4º
•
0 posts
1º
•
12 posts
2º
•
31 posts
3º
•
1 posts
1º
•
9 posts
3º
•
0 posts
2º
•
5 posts
2º
•
4 posts
4º
•
9 posts
3º
•
2 posts
2º
•
59 posts
3º
•
2 posts
3º
•
7 posts
4º
•
0 posts
4º
•
0 posts
3º
•
6 posts
4º
•
0 posts
1º
•
3 posts
2º
•
2 posts
4º
•
0 posts
Últimas publicaciones de Grado en Ingeniería en Tecnologías y Servicios de Telecomunicación (UNIOVI)
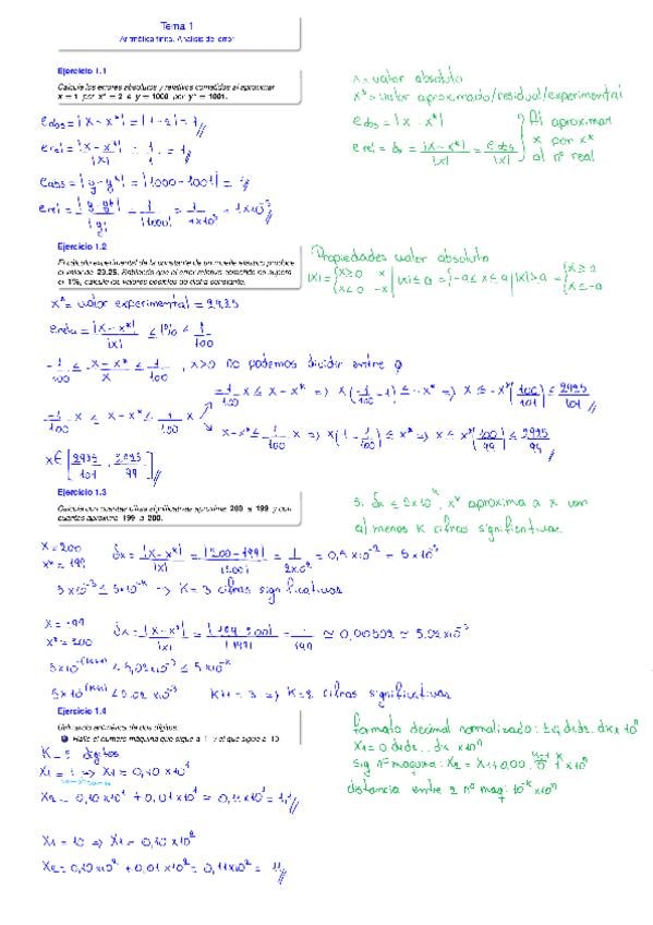
ejercicios
-
Problemas Diapositivas
He publicado nuevos ejercicios de 2º Métodos Numéricos: Problemas Diapositivas
He publicado nuevos apuntes de 1º Dispositivos Electrónicos y Fotónicos: Teoria.pdf
He publicado nuevos ejercicios de 1º Dispositivos Electrónicos y Fotónicos: Transistores.pdf
He publicado nuevos ejercicios de 1º Dispositivos Electrónicos y Fotónicos: Test-Transistores.pdf
He publicado nuevos ejercicios de 1º Dispositivos Electrónicos y Fotónicos: Fotonicos.pdf
He publicado nuevos ejercicios de 1º Dispositivos Electrónicos y Fotónicos: Problemas-Corrientes.pdf
apuntes
-
Teoria (ingles)
Apuntes en ingles de Propagación y Radiacion curso 2025-2026.
Primer examen parcial de mecánica y termodinamica del grado de Teleco, profesor Luis Javier
He publicado nuevos apuntes de 3º Ingenieria de Redes: PreguntasExamenContestadas2025.pdf
apuntes
-
Arquitectura de Redes
Apuntes y comando para las prácticas de laboratorio
examenes
-
Ampliación de Cálculo
He publicado nuevos examenes de 1º Ampliación de Cálculo: Ampliación de Cálculo
He publicado nuevos apuntes de 3º Servicios Multimedia e Interactivos: enunciado.pdf
He publicado nuevos apuntes de 3º Servicios Multimedia e Interactivos: PreguntasTemas68.pdf
He publicado nuevos apuntes de 3º Servicios Multimedia e Interactivos: PreguntasTemas15.pdf
He publicado nuevos apuntes de 3º Servicios Multimedia e Interactivos: Preguntas-Kahoot-resueltas2.pdf
He publicado nuevos apuntes de 3º Seguridad en Redes y Servicios: ApuntesSeguridad2024.pdf
He publicado nuevos practicas de 4º Redes y Servicios Móviles: Informe-practica-1b-1.pdf
He publicado nuevos practicas de 4º Redes y Servicios Móviles: Informe-Practica-2.pdf
He publicado nuevos practicas de 4º Redes y Servicios Móviles: Informe-practica-4.pdf
He publicado nuevos practicas de 4º Redes y Servicios Móviles: Informe-practica-1a.pdf
He publicado nuevos practicas de 4º Redes y Servicios Móviles: Informe-practica-1b.pdf
He publicado nuevos practicas de 4º Redes y Servicios Móviles: Informe-practica-3-1.pdf
He publicado nuevos apuntes de 2º Teoría de la Comunicación: Apuntes-Clase-TC-2.pdf
He publicado nuevos apuntes de 2º Teoría de la Comunicación: Apuntes-Clase-TC-1.pdf
He publicado nuevos apuntes de 2º Programación: Ejercicios-y-Apuntes.pdf
He publicado nuevos examenes de 4º Diseño y Planificación de Redes de Computadores: 11-Dic-2017.pdf
He publicado nuevos examenes de 4º Diseño y Planificación de Redes de Computadores: 5-Dic-2016.pdf
He publicado nuevos examenes de 4º Diseño y Planificación de Redes de Computadores: 10-Dic-2018.pdf
He publicado nuevos examenes de 4º Gestión de Servicios Telemáticos: preguntastipotest.pdf
He publicado nuevos apuntes de 2º Fundamentos de telemática: Stallings-Comunicaciones-y-Redes-de-Computadores-7ma-Ed..pdf
He publicado nuevos apuntes de 3º Servicios de Comunicaciones Básicos: SCB-Teoria-resumen.pdf
examenes
-
2016-17 Control 1
Enunciados
He publicado nuevos ejercicios de 1º Mecánica y Termodinámica: Ejercicios-mecanica-paginas-2.pdf
He publicado nuevos ejercicios de 1º Mecánica y Termodinámica: Ejercicios-mecanica-paginas-1.pdf
He publicado nuevos ejercicios de 1º Mecánica y Termodinámica: Ejercicios-mecanica-paginas-3.pdf
examenes
-
Exámenes Señales y Sistemas
He publicado nuevos examenes de 2º Señales y Sistemas: Exámenes Señales y Sistemas
practicas
-
PL Conversión de Energía Eléctrica
He publicado nuevos practicas de 3º Conversión de Energía Eléctrica: PL Conversión de Energía Eléctrica
He publicado nuevos ejercicios de 2º Fundamentos de telemática: PA4-EjerciciosTelematica.pdf
He publicado nuevos ejercicios de 2º Fundamentos de telemática: PA3-EjerciciosTelematica.pdf
He publicado nuevos ejercicios de 2º Fundamentos de telemática: PA2-EjerciciosTelematica.pdf
He publicado nuevos apuntes de 2º Fundamentos de telemática: TELEMATICA-TEMA-6.pdf
He publicado nuevos apuntes de 2º Fundamentos de telemática: TELEMATICA-TEMA-5.pdf
He publicado nuevos apuntes de 2º Fundamentos de telemática: TELEMATICA-TEMA-4.3.pdf
He publicado nuevos apuntes de 2º Fundamentos de telemática: TELEMATICA-TEMA-4.2.pdf
He publicado nuevos apuntes de 2º Fundamentos de telemática: TELEMATICA-TEMA-3.pdf
He publicado nuevos apuntes de 2º Fundamentos de telemática: TELEMATICA-TEMA-4.1.pdf
He publicado nuevos apuntes de 2º Fundamentos de telemática: TELEMATICA-TEMA-2.pdf
He publicado nuevos apuntes de 2º Fundamentos de telemática: TELEMATICA-TEMA-1.pdf
He publicado nuevos apuntes de 2º Fundamentos de telemática: RESUMENTELEMATICA1al5.pdf
examenes
-
Exámenes 2ºParcial T.Circt.
He publicado nuevos examenes de 1º Teoría de Circuitos: Exámenes 2ºParcial T.Circt.
examenes
-
Exámenes 1ºParcial T.Circt.
He publicado nuevos examenes de 1º Teoría de Circuitos: Exámenes 1ºParcial T.Circt.