
Doble Grado en Ingeniería Electrónica Industrial y Automática y en Ingeniería Biomédica (UPCT)
Cartagena - España
Asignaturas de Doble Grado en Ingeniería Electrónica Industrial y Automática y en Ingeniería Biomédica (UPCT)
Asignatura
arrow_downward1º
•
14 posts
3º
•
0 posts
1º
•
3 posts
4º
•
0 posts
3º
•
0 posts
4º
•
0 posts
4º
•
0 posts
4º
•
0 posts
2º
•
0 posts
4º
•
0 posts
3º
•
0 posts
4º
•
0 posts
3º
•
0 posts
2º
•
0 posts
4º
•
0 posts
1º
•
11 posts
1º
•
10 posts
1º
•
0 posts
1º
•
11 posts
2º
•
0 posts
2º
•
1 posts
1º
•
14 posts
4º
•
0 posts
3º
•
3 posts
4º
•
0 posts
3º
•
8 posts
4º
•
0 posts
4º
•
3 posts
1º
•
7 posts
1º
•
12 posts
2º
•
15 posts
2º
•
0 posts
2º
•
3 posts
4º
•
0 posts
3º
•
0 posts
2º
•
0 posts
4º
•
0 posts
3º
•
0 posts
4º
•
0 posts
1º
•
10 posts
2º
•
2 posts
2º
•
6 posts
4º
•
0 posts
4º
•
0 posts
3º
•
0 posts
3º
•
3 posts
4º
•
0 posts
3º
•
11 posts
2º
•
0 posts
4º
•
0 posts
2º
•
0 posts
4º
•
0 posts
Últimas publicaciones de Doble Grado en Ingeniería Electrónica Industrial y Automática y en Ingeniería Biomédica (UPCT)
examenes
-
Examen global (resuelto)
He publicado nuevos examenes de 2º Resistencia de Materiales: Examen global (resuelto)
examenes
-
1ER PARCIAL EX. RESUELTOS
He publicado nuevos examenes de 2º Resistencia de Materiales: 1ER PARCIAL EX. RESUELTOS
examenes
-
2DO PARCIAL EX RESUELTOS
He publicado nuevos examenes de 2º Resistencia de Materiales: 2DO PARCIAL EX RESUELTOS
ejercicios
-
EJERCICIOS VARIOS
He publicado nuevos ejercicios de 2º Resistencia de Materiales: EJERCICIOS VARIOS
odio matlab, pero odio mas que esta universidad no te de una licencia del programa. Una cosa, no verifico que este todo bien
He publicado nuevos examenes de 3º INGENIERÍA DE LOS SISTEMAS DE PRODUCCIÓN: EXAMEN-1ER-PARCIAL-JUNIO-2025.pdf
He publicado nuevos apuntes de 3º INGENIERÍA DE LOS SISTEMAS DE PRODUCCIÓN: Formulario-2parcial.pdf
He publicado nuevos apuntes de 3º INGENIERÍA DE LOS SISTEMAS DE PRODUCCIÓN: Formulario-1er-Parcial.pdf
He publicado nuevos apuntes de 2º Regulación Automática: FORMULARIO-GENERAL.pdf
He publicado nuevos ejercicios de 3º INGENIERÍA DE LOS SISTEMAS DE PRODUCCIÓN: Problemas-de-CDP-RESUELTOS.pdf
He publicado nuevos ejercicios de 3º INGENIERÍA DE LOS SISTEMAS DE PRODUCCIÓN: ProbSoldeoRESUELTOS.pdf
ejercicios
-
Ejercicios clase
He publicado nuevos ejercicios de 1º Ciencia e Ingeniería de los Materiales: Ejercicios clase
He publicado nuevos apuntes de 1º Ciencia e Ingeniería de los Materiales: Formulario-1parcial.pdf
He publicado nuevos apuntes de 1º Ciencia e Ingeniería de los Materiales: Formulario-2parcial.pdf
He publicado nuevos ejercicios de 3º INGENIERÍA DE LOS SISTEMAS DE PRODUCCIÓN: Ejercicios-mecanizado-resueltos.pdf
examenes
-
1er parcial
test y ejercicios modelo 1erparcial
examenes
-
2do parcial
test y ejercicios modelo segundo parcial
examenes
-
EXAMENES 1 PARCIAL RESUELTOS
examenes 1 parcial resueltos
examenes
-
EXAMENES 2 PARCIAL RESUELTOS
EXMANES RESUELTOOOSOFD JHUAVY GBAHUCWJNHMOE OMOM JMHIMJM
practicas
-
PRACTICA 1 MEFI
Todas las estructuras que me tocaron hacer en la practica 1, todas tienen un 10, espero q coincidamos en alguna :>
apuntes
-
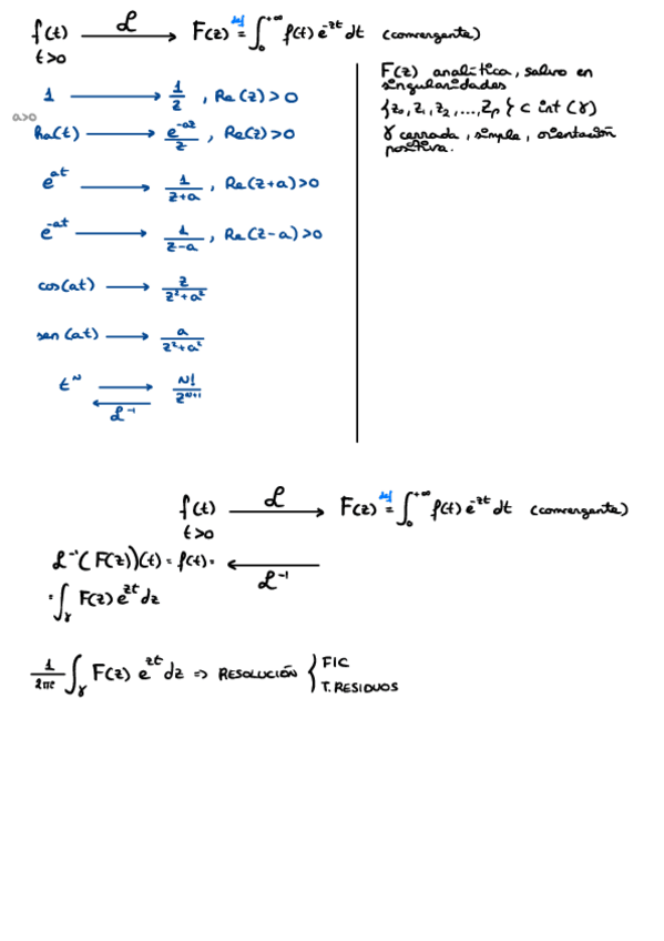
TEMA 5 SERIES DE FUNCIONES EN VARIABLE COMPLEJA. TRANSFORMADA Z
TEMA 5 SERIES DE FUNCIONES EN VARIABLE COMPLEJA. TRANSFORMADA Z
ejercicios
-
TEMA 4 EJERCICIOS RESUELTOS
He publicado nuevos ejercicios de 2º Matemáticas III: TEMA 4 EJERCICIOS RESUELTOS
apuntes
-
TEMA 4 : TRANSFORMADAS INTEGRALES .TRANSFORMADA DE LAPLACE Y FOURIER
He publicado nuevos apuntes de 2º Matemáticas III: TEMA 4 : TRANSFORMADAS INTEGRALES .TRANSFORMADA DE LAPLACE Y FOURIER
He publicado nuevos practicas de 2º Mecánica de Máquinas: Test-Practicas-Soluciones.pdf
apuntes
-
TEMA 3 INTEGRACIÓN COMPLEJA
TEMA 3 INTEGRACIÓN COMPLEJA
apuntes
-
TEMA 2 FUNCIONES VARIABLE COMPLEJA
TEMA 2 FUNCIONES VARIABLE COMPLEJA APUNTES
ejercicios
-
EJERCICIOS RESUELTOS TEMA 1
Ejercicios resueltos tema 1 operaciones con numeros complejos
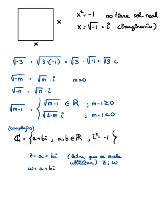
Apuntes del 4to dia, tema 1: operaciones con numeros complejos, contiene ejercicios y ejemplos
Apuntes del dia 3 del tema 1 de matematicas III (Operaciones con numeros complejos) contiene ejercicios y ejemplos
HOLA POLLOS, vuestra servidora favorita (espero) os pasa el entregable II (modelo 22/23), espero q os sirva mucho mucho y que os saques esta mierda de asignatura en primera matricula
HOLAAA, vuestro primer ENTREGABLE de mates I, en este trabajo saqué un 7~8 (no me acuerdo), por lo que hay cosas que- obviamente- estarán mal, de todas formas, espero que os ayude <3
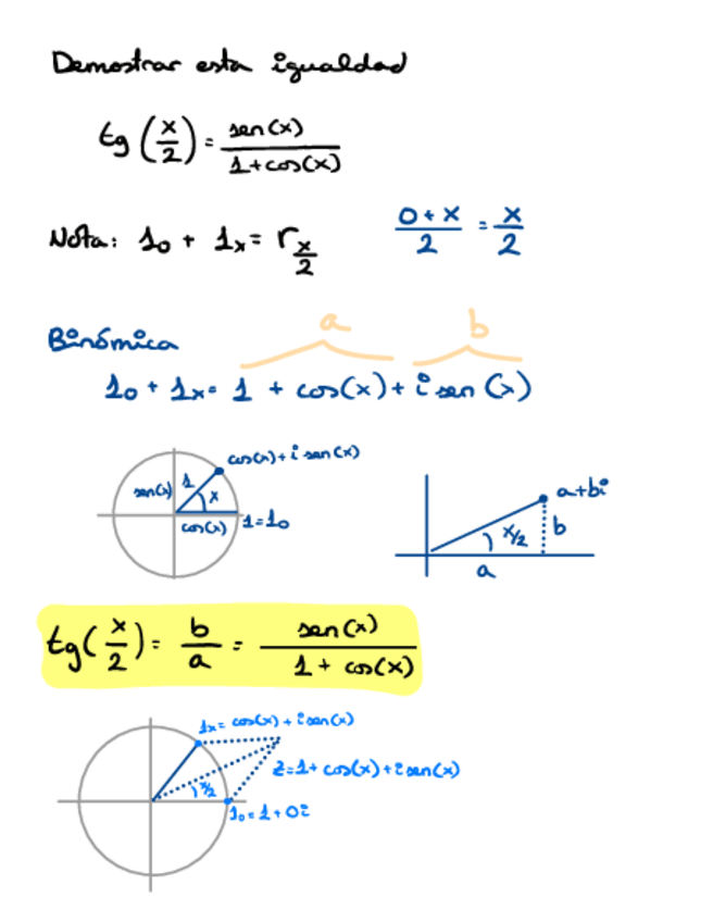
CLASE 2 del tema 1 de mates III (operaciones con números complejos, lección 2)
Apuntes de la clase 1 del tema 1: operaciones con números complejos
He publicado nuevos apuntes de 1º Química General: Tema6Termoquimica-1.pdf
He publicado nuevos apuntes de 1º Química General: Tema5reaccionesquimicasestequiometria-1.pdf
He publicado nuevos apuntes de 1º Química General: Tema4EstadosdeagregacionDisoluciones-1.pdf
He publicado nuevos apuntes de 1º Química General: Tema2Enlacequimico-2.pdf
He publicado nuevos apuntes de 1º Química General: Tema-8-Resumen-equilibrio-y-problemas-resueltos-2.pdf
He publicado nuevos apuntes de 1º Química General: ejerciciosformulacioninorganica-1.pdf
He publicado nuevos apuntes de 1º Química General: Tema-7.-Resumen-Cinetica-quimica-y-problemas-resueltos-3.pdf
He publicado nuevos examenes de 1º Estadística Aplicada: solucionesparcial1GIEyAGIB.pdf
He publicado nuevos examenes de 1º Estadística Aplicada: solucionesparcial2elecbio2022-3.pdf
He publicado nuevos examenes de 1º Estadística Aplicada: SOLUCIONgradoindustrialesjunio2014-2.pdf
He publicado nuevos examenes de 1º Estadística Aplicada: solucionfebrero2020aulavirtual.pdf
He publicado nuevos examenes de 1º Estadística Aplicada: SOLUCIONESExamenR19072022modeloA.pdf
He publicado nuevos examenes de 1º Estadística Aplicada: solproblemassept2019.pdf
He publicado nuevos examenes de 1º Estadística Aplicada: GIEyAjunio2021modeloasoluciones-1.pdf
He publicado nuevos examenes de 1º Estadística Aplicada: finaljuniov3soluciones.pdf
He publicado nuevos examenes de 1º Estadística Aplicada: EstApljulio2022GEIyAGIBsoluciones.pdf
He publicado nuevos examenes de 1º Informática Aplicada: primerParcial.pdf
He publicado nuevos examenes de 1º Informática Aplicada: finalFebrero12.pdf
He publicado nuevos examenes de 1º Informática Aplicada: segundoParcialGIEYA.pdf
He publicado nuevos examenes de 1º Informática Aplicada: segundoParcial.pdf