
Grado en Ciencia e Ingeniería de Datos (UPCT)
Cartagena - España
Asignaturas de Grado en Ciencia e Ingeniería de Datos (UPCT)
Asignatura
arrow_downward1º
•
8 posts
4º
•
0 posts
2º
•
6 posts
2º
•
28 posts
2º
•
0 posts
2º
•
12 posts
1º
•
11 posts
1º
•
16 posts
4º
•
0 posts
3º
•
0 posts
4º
•
0 posts
1º
•
6 posts
4º
•
0 posts
1º
•
19 posts
2º
•
0 posts
1º
•
8 posts
2º
•
15 posts
4º
•
0 posts
4º
•
0 posts
2º
•
7 posts
3º
•
0 posts
1º
•
4 posts
1º
•
6 posts
2º
•
9 posts
4º
•
0 posts
3º
•
0 posts
4º
•
0 posts
4º
•
0 posts
3º
•
0 posts
2º
•
0 posts
3º
•
0 posts
3º
•
0 posts
4º
•
0 posts
2º
•
0 posts
4º
•
0 posts
3º
•
6 posts
Últimas publicaciones de Grado en Ciencia e Ingeniería de Datos (UPCT)
Resumen del tema 3 de la asignatura Introducción a la Ciencia de Datos en la Inteligencia Artificial
Resumen del tema 3 de la asignatura de Fundamentos de Computadores titulado Los Lenguajes del Computador
Resumen del tema 2 de Introducción a la Ciencia de Datos en la Inteligencia Artificial. En este tema se tratan temas sobre los principios de la Ciencia de Datos en la Inteligencia Artificial
Resumen del tema 1 de la asignatura de Introducción a la Ciencia de datos en la Inteligencia Artificial. El tema se basa en los principios de la Inteligencia Artificial.
Resumen del tema 1 de la asignatura de Fundamentos de Computadores. El tema trata sobre la Introducción a los computadores. Aquí está todo lo principal del tema explicado y resumido, con algún esquema para hacerlo más visual.
Resumen del primer tema de Fundamentos de Computadores, más concretamente la parte de historia de los computadores. Aquí se encuentra lo principal del tema. De aquí hay posibilidad de que saque el profesor preguntas en el examen de evaluación
He publicado nuevos ejercicios de 2º Fundamentos de Redes de Datos: Ejercicios.pdf
He publicado nuevos apuntes de 2º Análisis y diseño de algoritmos: Apuntes-ADA.pdf
He publicado nuevos apuntes de 1º Matemática Discreta: DEMOSTRACIONESDISCRETAS.pdf
He publicado nuevos ejercicios de 2º Análisis y diseño de algoritmos: Ejercicios-Tema-5.pdf
He publicado nuevos ejercicios de 2º Análisis y diseño de algoritmos: Ejercicios-Tema-4.pdf
He publicado nuevos ejercicios de 2º Análisis y diseño de algoritmos: Ejercicios-Tema-2.pdf
He publicado nuevos ejercicios de 2º Análisis y diseño de algoritmos: Ejercicios-Tema-3.pdf
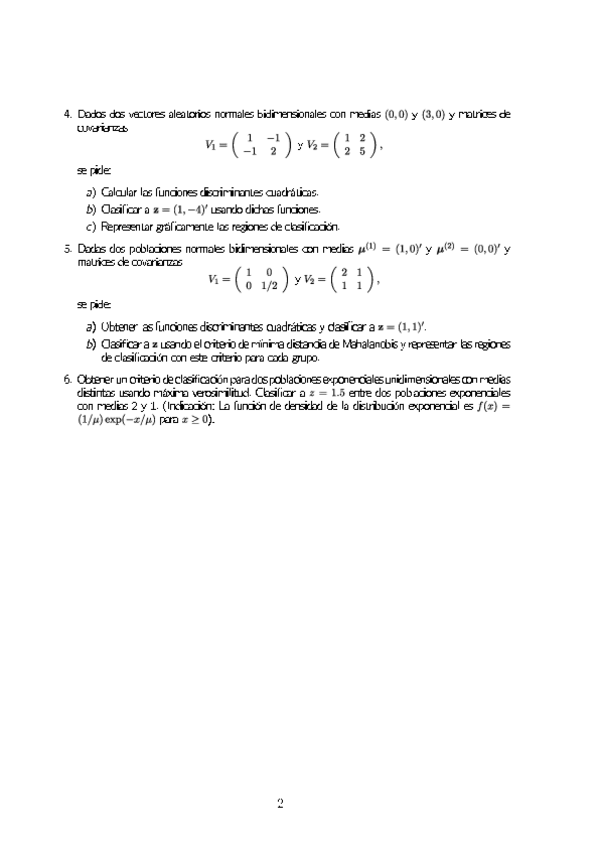
He publicado nuevos ejercicios de 2º Análisis Estadístico Multivariante: Ejercicios-Tema-5-AEM.pdf
He publicado nuevos ejercicios de 2º Análisis Estadístico Multivariante: Ejercicios-Tema-3-AEM.pdf
He publicado nuevos ejercicios de 2º Análisis Estadístico Multivariante: Ejercicios-Tema-4-AEM.pdf
He publicado nuevos ejercicios de 2º Análisis Estadístico Multivariante: Ejercicios-Tema-1-AEM.pdf
He publicado nuevos ejercicios de 2º Análisis Estadístico Multivariante: Ejercicios-Tema-2-AEM.pdf
He publicado nuevos apuntes de 1º Matemática Discreta: Apuntes-de-clase.pdf
apuntes
-
ejercicios_algebra_1-6
He publicado nuevos apuntes de 1º Álgebra Lineal: ejercicios_algebra_1-6
apuntes
-
AEM
He publicado nuevos apuntes de 2º Análisis Estadístico Multivariante: AEM
Coneptos básicos de programación en Python
Aupuntes adicionales que cubren conceptos básicos de los sistemas basados en regla.
He publicado nuevos apuntes de 2º Fundamentos de Redes de Datos: Ejercicios-del-Tema-4-soluciones.pdf
He publicado nuevos apuntes de 2º Fundamentos de Redes de Datos: Ejercicios-del-Tema-3-soluciones.pdf
He publicado nuevos apuntes de 2º Fundamentos de Redes de Datos: Ejercicios-del-Tema-2-soluciones.pdf
He publicado nuevos apuntes de 2º Fundamentos de Redes de Datos: Ejercicios-del-Tema-1-soluciones.pdf
He publicado nuevos apuntes de 2º Fundamentos de Redes de Datos: Ejercicios-del-Tema-3.pdf
He publicado nuevos apuntes de 2º Fundamentos de Redes de Datos: Ejercicios-del-Tema-4.pdf
He publicado nuevos apuntes de 2º Fundamentos de Redes de Datos: Ejercicios-del-Tema-1.pdf