
Grado en Ingeniería en Diseño Mecánico (UPNA)
Tudela
Sube tus apuntes
arrow_forwardAsignaturas de Grado en Ingeniería en Diseño Mecánico (UPNA)
Asignatura
arrow_downward1º
•
0 posts
3º
•
3 posts
3º
•
0 posts
2º
•
2 posts
1º
•
0 posts
3º
•
0 posts
4º
•
0 posts
2º
•
0 posts
2º
•
3 posts
1º
•
0 posts
4º
•
0 posts
4º
•
0 posts
1º
•
8 posts
4º
•
0 posts
4º
•
0 posts
1º
•
0 posts
2º
•
1 posts
1º
•
1 posts
1º
•
1 posts
4º
•
0 posts
3º
•
0 posts
2º
•
1 posts
3º
•
0 posts
3º
•
0 posts
4º
•
0 posts
1º
•
2 posts
1º
•
2 posts
4º
•
0 posts
4º
•
0 posts
3º
•
0 posts
3º
•
0 posts
2º
•
0 posts
2º
•
0 posts
4º
•
0 posts
1º
•
12 posts
3º
•
0 posts
4º
•
0 posts
2º
•
0 posts
3º
•
0 posts
2º
•
2 posts
2º
•
1 posts
4º
•
2 posts
Últimas publicaciones de Grado en Ingeniería en Diseño Mecánico (UPNA)
He publicado nuevos apuntes de 1º Matemáticas II: Calculo-diferencial-en-varias-variables.pdf
He publicado nuevos apuntes de 1º Matemáticas II: Funciones-limite-y-continuidad-en-varias-variables.pdf
OFERTA LABORAL 10€/HORA (SOLO 3 HORAS) 29 ENERO
Buscamos game masters escape room urbano 🕵️♂️🗺️ Si te mola dinamizar grupos, la aventura y los juegos de lógica y buscas un trabajo para compaginar con los estudios… esta oferta es para ti 👇 📅 Día: 29 de enero ⏰ Duración: de 12:00 a 15:00 🏙️ Lugar: centro de Pamplona 💸 Salario: 10€/h netos 🧩 ¿Qué harás? Dinamizar una gymkana con pruebas de lógica Guiar a los participantes por la ciudad Dar pistas, entretener y mantener la experiencia activa y divertida Ser la “cara” del juego durante toda la actividad
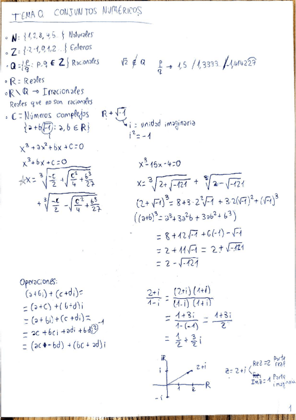
He publicado nuevos apuntes de 1º Matemáticas I: Apuntes-clase-Mate-1.pdf
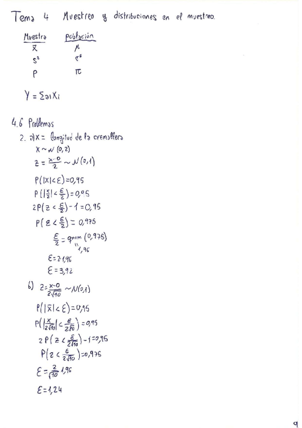
He publicado nuevos apuntes de 1º Estadística: Repaso-1-parcial-T1T2T3T5.pdf
He publicado nuevos ejercicios de 1º Química: Enunciados-problemas-Q.pdf
He publicado nuevos apuntes de 4º Trabajo Fin de Grado: Trabajo-final-Ingles.docx
He publicado nuevos otros de 3º Ampliación de Resistencia de Materiales: Calest730.zip
apuntes
-
EJERCICIOS RESULETOS
Enunciados de problemas y problemas resueltos
apuntes
-
Exámenes Finales Con Soluciones
He publicado nuevos apuntes de 1º Matemáticas I: Exámenes Finales Con Soluciones
practicas
-
PRACTICAS CORREGIDAS
PRACTICA 1, PRACTICA 2, PRACTICA 3
ejercicios
-
EJERCICIOS RESULETOS
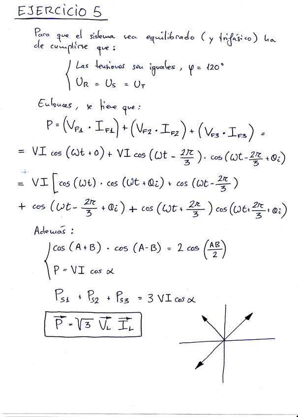
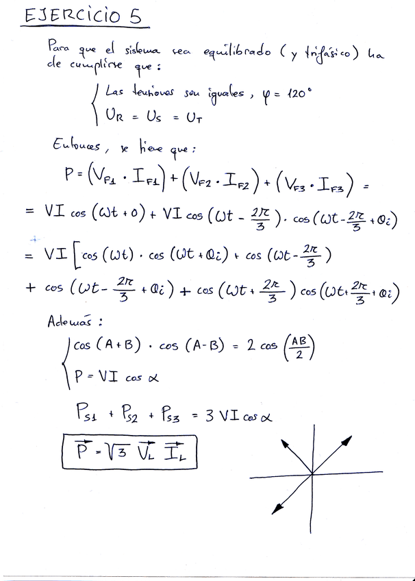
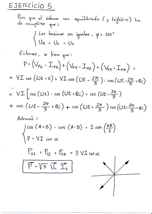
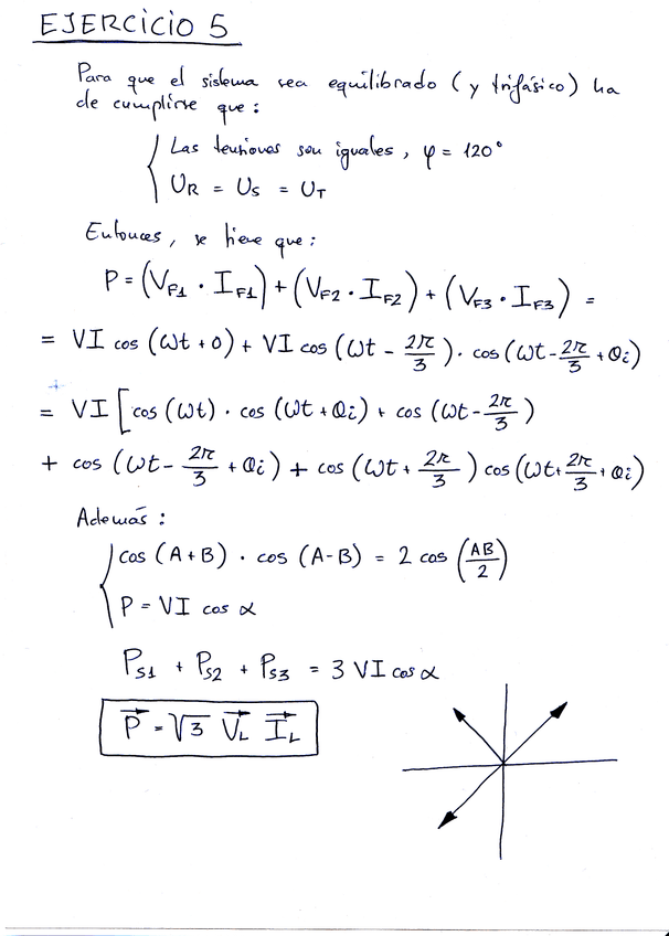
He publicado nuevos ejercicios de 2º Ingeniería Eléctrica: EJERCICIOS RESULETOS
ejercicios
-
EJERCICIOS RESULETOS
He publicado nuevos ejercicios de 2º Electrónica y Automática: EJERCICIOS RESULETOS
practicas
-
PRACTICAS
PRACTICA 3: FUERZAS Y MOMENTOS DE UNA FUERZA PRACTICA 2: CINEMÁTICA DEL CUERPO RÍGIDO
examenes
-
EXÁMENES RESUELTOS DE DIODOS Y TRANSISTORES
Exames resueltos de 2011 a 2015
ejercicios
-
EJERCICIOS RESULETOS
He publicado nuevos ejercicios de 2º Ciencia de Materiales: EJERCICIOS RESULETOS
ejercicios
-
EJERCICIOS DE DIODOS Y TRANSISTORES RESUELTOS
Ejercicios resueltos
He publicado nuevos examenes de 2º FUNDAMENTOS DE FABRICACIÓN: EXAMEN RESUELTO.pdf
