
Doble Grado en Ingeniería del Software y Matemáticas (URJC)
Móstoles
Asignaturas de Doble Grado en Ingeniería del Software y Matemáticas (URJC)
Asignatura
arrow_downward1º
•
5 posts
3º
•
0 posts
2º
•
2 posts
3º
•
1 posts
2º
•
0 posts
1º
•
3 posts
4º
•
0 posts
3º
•
3 posts
4º
•
0 posts
3º
•
0 posts
4º
•
0 posts
3º
•
3 posts
4º
•
1 posts
4º
•
3 posts
1º
•
24 posts
2º
•
5 posts
1º
•
27 posts
3º
•
0 posts
2º
•
0 posts
4º
•
0 posts
1º
•
5 posts
2º
•
0 posts
2º
•
5 posts
4º
•
0 posts
1º
•
13 posts
2º
•
0 posts
4º
•
0 posts
5º
•
0 posts
4º
•
0 posts
1º
•
0 posts
1º
•
6 posts
3º
•
2 posts
1º
•
2 posts
1º
•
5 posts
2º
•
0 posts
5º
•
3 posts
5º
•
0 posts
3º
•
3 posts
4º
•
0 posts
2º
•
0 posts
5º
•
0 posts
3º
•
0 posts
4º
•
0 posts
3º
•
0 posts
2º
•
4 posts
5º
•
0 posts
5º
•
0 posts
3º
•
3 posts
Últimas publicaciones de Doble Grado en Ingeniería del Software y Matemáticas (URJC)
examenes
-
Cálculo. Exámenes RESUELTOS✅
He publicado nuevos examenes de 1º Cálculo: Cálculo. Exámenes RESUELTOS✅
apuntes
-
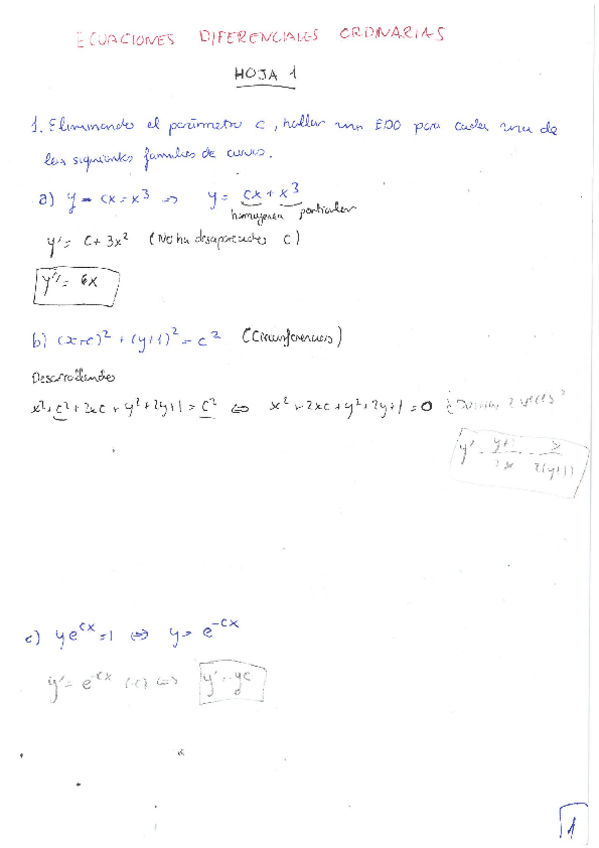
EDO. Teoría✏️
He publicado nuevos apuntes de 3º Ecuaciones Diferenciales Ordinarias: EDO. Teoría✏️
examenes
-
EDO. Exámenes✅
He publicado nuevos examenes de 3º Ecuaciones Diferenciales Ordinarias: EDO. Exámenes✅
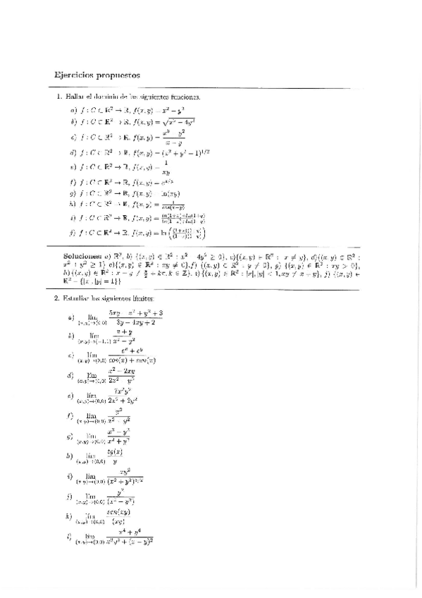
ejercicios
-
EDO. Ejercicios☑️
He publicado nuevos ejercicios de 3º Ecuaciones Diferenciales Ordinarias: EDO. Ejercicios☑️
apuntes
-
Métodos numéricos. Ejercicios✔️
He publicado nuevos apuntes de 5º Métodos Numéricos: Métodos numéricos. Ejercicios✔️
apuntes
-
Métodos numéricos. Teoría✏️
He publicado nuevos apuntes de 5º Métodos Numéricos: Métodos numéricos. Teoría✏️
examenes
-
Variable compleja. Exámenes✅
He publicado nuevos examenes de 3º Variable Compleja y Análisis Funcional: Variable compleja. Exámenes✅
examenes
-
Métodos numéricos. Exámenes✅
He publicado nuevos examenes de 5º Métodos Numéricos: Métodos numéricos. Exámenes✅
examenes
-
Estructuras algebraicas. Exámenes✅
He publicado nuevos examenes de 1º Estructuras Algebraicas: Estructuras algebraicas. Exámenes✅
examenes
-
Ecuaciones en derivadas parciales. Exámenes✅
Nota: Faltaría añadir verificación de las soluciones. Puede que haya algún pequeño error en la redacción que se me haya pasado. Espero que sirva :)
examenes
-
Curvas y superficies. Exámenes✅
He publicado nuevos examenes de 3º Curvas y Superficies: Curvas y superficies. Exámenes✅
apuntes
-
Análisis vectorial II. Exámenes✅
He publicado nuevos apuntes de 3º Análisis Vectorial II: Análisis vectorial II. Exámenes✅
apuntes
-
Variable compleja. Ejercicios☑️
He publicado nuevos apuntes de 3º Variable Compleja y Análisis Funcional: Variable compleja. Ejercicios☑️
apuntes
-
Variable compleja. Teoría✏️
Se incluyen las demostraciones del curso 2023-24
ejercicios
-
Matemática discreta. Ejercicios (CURSO COMPLETO)☑️
He publicado nuevos ejercicios de 1º Matemática Discreta: Matemática discreta. Ejercicios (CURSO COMPLETO)☑️
ejercicios
-
Estadística matemática. Ejercicios☑️
He publicado nuevos ejercicios de 4º Estadística Matemática: Estadística matemática. Ejercicios☑️
apuntes
-
Estadística matemática. Teoría✏️
He publicado nuevos apuntes de 4º Estadística Matemática: Estadística matemática. Teoría✏️
examenes
-
Estadística matemática. Exámenes✅
He publicado nuevos examenes de 4º Estadística Matemática: Estadística matemática. Exámenes✅
apuntes
-
Curvas y superficies. Teoría✏️
He publicado nuevos apuntes de 3º Curvas y Superficies: Curvas y superficies. Teoría✏️
He publicado nuevos apuntes de 3º Curvas y Superficies: Geometria-diferencial-de-curvas-y-superficies-espanol-do-Carmo.pdf
He publicado nuevos ejercicios de 2º Geometría Afín: Ejercicios-tema-2-GA.pdf
apuntes
-
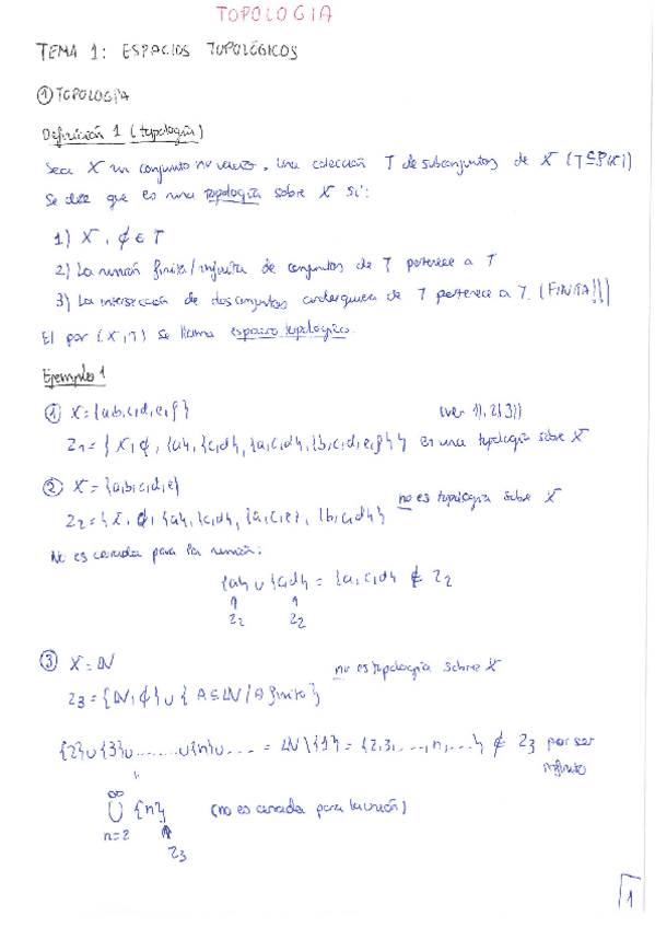
Topología. Teoría (CURSO COMPLETO)✏️
He publicado nuevos apuntes de 2º Topología: Topología. Teoría (CURSO COMPLETO)✏️
ejercicios
-
Analisis Vectorial I. Ejercicios☑️
He publicado nuevos ejercicios de 2º Análisis Vectorial I: Analisis Vectorial I. Ejercicios☑️
apuntes
-
Analisis Vectorial I. Teoría✏️
He publicado nuevos apuntes de 2º Análisis Vectorial I: Analisis Vectorial I. Teoría✏️
examenes
-
Topología. Exámenes RESUELTOS ✅
He publicado nuevos examenes de 2º Topología: Topología. Exámenes RESUELTOS ✅
ejercicios
-
Topología. Entregas (CURSO COMPLETO)☑️
He publicado nuevos ejercicios de 2º Topología: Topología. Entregas (CURSO COMPLETO)☑️