Asignaturas de Grado en Ingeniería Aeroespacial (UVIGO)
Asignatura
arrow_downward1º
•
23 posts
3º
•
6 posts
4º
•
2 posts
1º
•
14 posts
3º
•
5 posts
2º
•
24 posts
4º
•
1 posts
3º
•
16 posts
4º
•
3 posts
2º
•
31 posts
2º
•
16 posts
2º
•
12 posts
1º
•
3 posts
3º
•
11 posts
1º
•
14 posts
1º
•
24 posts
1º
•
6 posts
1º
•
16 posts
1º
•
11 posts
4º
•
0 posts
3º
•
2 posts
2º
•
31 posts
2º
•
4 posts
3º
•
1 posts
4º
•
10 posts
4º
•
1 posts
2º
•
14 posts
1º
•
27 posts
2º
•
6 posts
4º
•
0 posts
4º
•
0 posts
4º
•
5 posts
4º
•
0 posts
1º
•
28 posts
2º
•
22 posts
4º
•
0 posts
2º
•
10 posts
4º
•
1 posts
3º
•
7 posts
Últimas publicaciones de Grado en Ingeniería Aeroespacial (UVIGO)
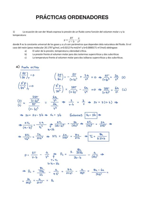
He publicado nuevos practicas de 2º Termodinámica: PracticasOrdenadores-Termodinamica.pdf
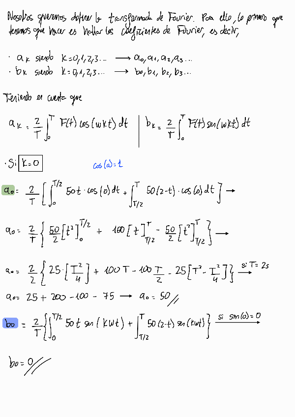
He publicado nuevos practicas de 2º Mecánica Clásica: Practicas-Mecanica-Clasica.pdf
He publicado nuevos apuntes de 2º Enxeñaría eléctrica: RESUMEN-PARTE-2.pdf
He publicado nuevos examenes de 2º Enxeñaría eléctrica: FINAL-2025-PARTE2.pdf
He publicado nuevos examenes de 2º Enxeñaría eléctrica: FINAL-2025-PARTE1.pdf
He publicado nuevos practicas de 2º Ciencia e tecnoloxía dos materiais: PRACTICA4METALOGRAFIA.pdf
He publicado nuevos practicas de 2º Ciencia e tecnoloxía dos materiais: PRATICA3DUREZA.pdf
He publicado nuevos practicas de 2º Ciencia e tecnoloxía dos materiais: PRACTICA2CHARPY.pdf
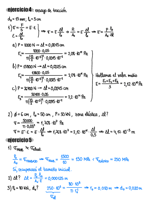
He publicado nuevos practicas de 2º Ciencia e tecnoloxía dos materiais: PRACTICA1TRACCION.pdf
He publicado nuevos ejercicios de 2º Ciencia e tecnoloxía dos materiais: Boletinesparcial2corregidos.pdf
He publicado nuevos examenes de 1º Matemáticas: Cálculo I: calculo262parcialSolucion.pdf
He publicado nuevos examenes de 1º Matemáticas: Cálculo I: 2026-1Parcial-solucion.pdf
He publicado nuevos apuntes de 4º Vehículos aeroespaciais: Apuntesteoria2aparte.pdf
He publicado nuevos examenes de 1º Informática: Preguntasteoricasinformatica.pdf
He publicado nuevos apuntes de 4º Dirección e xestión de proxectos: ApuntesT456-y-7.pdf
He publicado nuevos apuntes de 4º Dirección e xestión de proxectos: ApuntesT2.1.pdf
He publicado nuevos apuntes de 4º Sistemas de Propulsión: Apuntes-bloque-3.pdf
He publicado nuevos apuntes de 4º Dirección e xestión de proxectos: Apuntes-Tema-2.2-Gestion-del-marketing.pdf
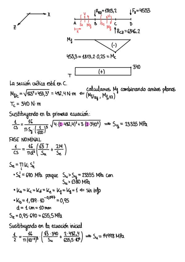
He publicado nuevos ejercicios de 2º Resistencia de materiais e elasticidade: RESISTENCIA-Ejercicios-y-ejemplos.pdf
He publicado nuevos apuntes de 1º Química: teoria-examen-practicas-completa.pdf
trabajos
-
informe carga capacitor
trabajo pa subir nota
He publicado nuevos test de 1º Administración da tecnoloxía e a empresa: TEST-TIPO-EXAMEN-MOOVI.pdf
He publicado nuevos practicas de 1º Administración da tecnoloxía e a empresa: PRACTICAS-3,4,5,6.pdf.pdf
He publicado nuevos examenes de 1º Administración da tecnoloxía e a empresa: Examen-final-ADE-2023.pdf
He publicado nuevos apuntes de 4º Sistemas de Propulsión: Apuntes-tema-2.pdf
He publicado nuevos apuntes de 4º Sistemas de Propulsión: Apuntes-tema-1.1-2-y-3.pdf
He publicado nuevos apuntes de 4º Mecánica do voo: 2a-Parte-Estudio-1er-parcial-MV.pdf
He publicado nuevos apuntes de 4º Mecánica do voo: Estudio-parcial-1er-Parcial-Parte-1.pdf
practicas
-
ENTREGA PRÁCTICA 8
He publicado nuevos practicas de 1º Expresión Gráfica: ENTREGA PRÁCTICA 8
He publicado nuevos examenes de 1º Informática: Segundo-examen-parcial-S3-2024-2025.pdf
He publicado nuevos examenes de 1º Informática: Segundo-examen-parcial-S1-2024-2025.pdf
He publicado nuevos examenes de 1º Matemáticas: Álxebra lineal: PARCIAL-2-2024-2025.jpeg
He publicado nuevos examenes de 1º Matemáticas: Álxebra lineal: PARCIAL-1-2024-2025.jpg
examenes
-
examenes fisica I
examenes de fisica I
He publicado nuevos examenes de 2º Electrónica e automática: Electronica-Mayo-2024.pdf
He publicado nuevos examenes de 2º Electrónica e automática: Electronica-Mayo-2022.pdf
He publicado nuevos apuntes de 2º Electrónica e automática: Resumen-Electronica.pdf
He publicado nuevos apuntes de 2º Electrónica e automática: Ejemplos-teoria-y-boletin-4-digital.pdf
He publicado nuevos ejercicios de 3º Deseño mecánico, MEF e vibracións: Ejercicios-TEMA-4.pdf
He publicado nuevos ejercicios de 3º Deseño mecánico, MEF e vibracións: Ejercicios-TEMA-3.pdf
He publicado nuevos ejercicios de 3º Deseño mecánico, MEF e vibracións: Ejercicios-TEMA-2.pdf
He publicado nuevos ejercicios de 3º Deseño mecánico, MEF e vibracións: Ejercicios-TEMA-1.pdf
He publicado nuevos apuntes de 3º Deseño mecánico, MEF e vibracións: Apuntes-DMV-Primera-Parte.pdf
He publicado nuevos apuntes de 2º Electrónica e automática: T1.-Diodos-y-transistores-resumen.pdf
