Accionamientos Eléctricos

chevron_left
chevron_right
Todo
Apuntes
Preguntas
Ejercicios
Exámenes
Prácticas
publication
Test
Trabajos
chevron_left
chevron_right

He publicado nuevos examenes de 4º Accionamientos Eléctricos: problemas-examen-2026-accionamientos-electricos.pdf

2 páginas

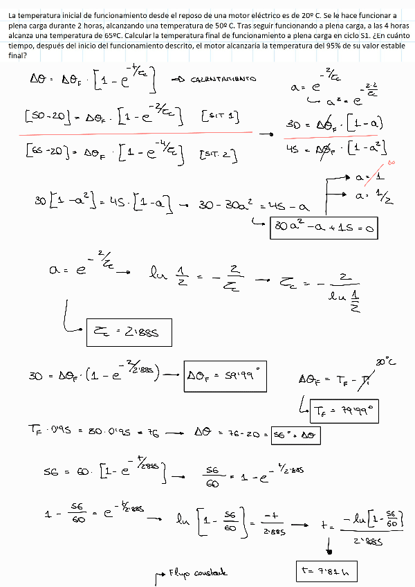
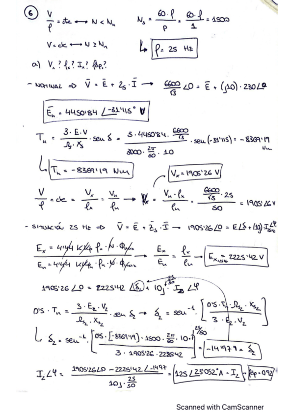
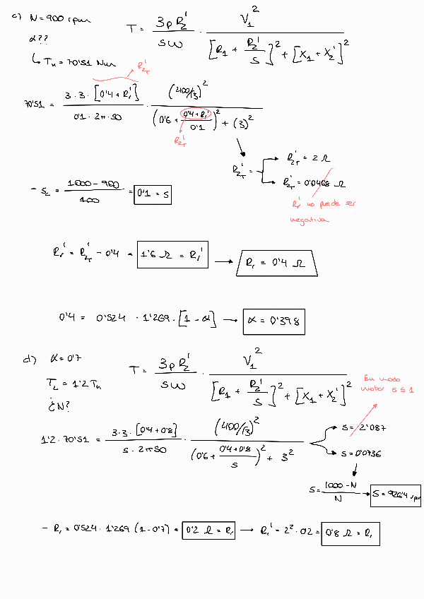
He publicado nuevos examenes de 4º Accionamientos Eléctricos: PROBLEMA-4-resuelto.pdf

2 páginas

He publicado nuevos examenes de 4º Accionamientos Eléctricos: PROBLEMA-2-resuelto.pdf

3 páginas
Anónimo

@Anónimo

apuntes

-

Problemas_campus_libro

He publicado nuevos apuntes de 3º Accionamientos Eléctricos: Problemas_campus_libro

Tema.1.Problemas_resueltos.pdf
Tema.2.Problemas_resueltos.pdf
Tema.3.Problemas_resueltos.pdf
Tema.4.Problemas_resueltos.pdf
Tema.5.Problemas_resueltos.pdf
Tema.4.Problemas_clase.pdf

He publicado nuevos apuntes de 4º Accionamientos Eléctricos: Accionamientos-electricos-teoria-y-problemas-de-clase.pdf

107 páginas

He publicado nuevos ejercicios de 4º Accionamientos Eléctricos: Problemas-accionamientos-no-hechos-en-clase.pdf

46 páginas

He publicado nuevos examenes de 4º Accionamientos Eléctricos: Examen-tipo-2.pdf

2 páginas

He publicado nuevos apuntes de 4º Accionamientos Eléctricos: Examen-tipo-resuelto-profesor.pdf

9 páginas

He publicado nuevos apuntes de 4º Accionamientos Eléctricos: Tema-3-AEparte2.pdf

12 páginas

He publicado nuevos practicas de 4º Accionamientos Eléctricos: PRACTICA-3-Control-MCC-doble-lazo.pdf

4 páginas

He publicado nuevos apuntes de 4º Accionamientos Eléctricos: Tema-3-AE.pdf

12 páginas

He publicado nuevos practicas de 4º Accionamientos Eléctricos: PRACTICA-1-puente-H.pdf

4 páginas

He publicado nuevos practicas de 4º Accionamientos Eléctricos: PRACTICA-2-Control-maquina-DC-lazo-simple.pdf

4 páginas

He publicado nuevos test de 4º Accionamientos Eléctricos: Test-sin-solucion.pdf

13 páginas

He publicado nuevos test de 4º Accionamientos Eléctricos: Test-con-solucion.pdf

17 páginas

He publicado nuevos apuntes de 4º Accionamientos Eléctricos: Tema-2-AE.pdf

7 páginas

He publicado nuevos apuntes de 4º Accionamientos Eléctricos: Tema-1-AE.pdf

4 páginas

He publicado nuevos ejercicios de 4º Accionamientos Eléctricos: Ejercicios-examen-ordinario-2022.pdf

4 páginas

He publicado nuevos ejercicios de 4º Accionamientos Eléctricos: Ejercicios-Clase.pdf

1 página

He publicado nuevos ejercicios de 4º Accionamientos Eléctricos: Ejercicios-examen-ordinario.pdf

5 páginas

He publicado nuevos ejercicios de 4º Accionamientos Eléctricos: 3.4.-Ejercicios-lazos-en-cascada.pdf

5 páginas

He publicado nuevos ejercicios de 4º Accionamientos Eléctricos: 3.5.-Ejercicio-lazos-digitales-en-cascada.pdf

5 páginas

He publicado nuevos ejercicios de 4º Accionamientos Eléctricos: 3.0-Modelado-de-sistemas.pdf

2 páginas

He publicado nuevos ejercicios de 4º Accionamientos Eléctricos: 3.2.-Ejercicio-resuelto-lazos-en-cascada.pdf

9 páginas

He publicado nuevos ejercicios de 4º Accionamientos Eléctricos: 3.3.-Ejercicio-lazo-de-corriente-digital.pdf

5 páginas

He publicado nuevos ejercicios de 4º Accionamientos Eléctricos: 3.1.-Ejercicio-lazo-de-corriente.pdf

7 páginas

He publicado nuevos ejercicios de 4º Accionamientos Eléctricos: 2.5.-Ejercicio-permanente-y-transitorio.pdf

4 páginas

He publicado nuevos ejercicios de 4º Accionamientos Eléctricos: 2.1.-Ejercicio-permanente.pdf

Miniatura no disponible
pdf

He publicado nuevos ejercicios de 4º Accionamientos Eléctricos: 2.6.-Ejercicio-permanente.pdf

3 páginas

He publicado nuevos ejercicios de 4º Accionamientos Eléctricos: 2.4.-Ejercicio-permanente-y-transitorio.pdf

1 página

He publicado nuevos ejercicios de 4º Accionamientos Eléctricos: 2.2.-Ejercicio-permanente.pdf

2 páginas

He publicado nuevos ejercicios de 4º Accionamientos Eléctricos: 2.3.-Ejercicio-transitorio.pdf

3 páginas
Anónimo

@Anónimo

He publicado nuevos examenes de 4º Accionamientos Eléctricos: Examen-GITI-2024-Enero.pdf

1 página
Anónimo

@Anónimo

He publicado nuevos examenes de 4º Accionamientos Eléctricos: Examen-GIEL-2024.pdf

1 página
Anónimo

@Anónimo

He publicado nuevos examenes de 4º Accionamientos Eléctricos: Examen-GIEL-2024-Enero.pdf

1 página

He publicado nuevos trabajos de 3º Accionamientos Eléctricos: Proyecto.pdf

80 páginas

He publicado nuevos practicas de 3º Accionamientos Eléctricos: Practica-2.pdf

23 páginas

He publicado nuevos practicas de 3º Accionamientos Eléctricos: Practica-3.pdf

20 páginas

He publicado nuevos practicas de 3º Accionamientos Eléctricos: Practica-1.pdf

28 páginas

He publicado nuevos practicas de 3º Accionamientos Eléctricos: Practica-5.pdf

16 páginas

He publicado nuevos practicas de 3º Accionamientos Eléctricos: Practica-4-Parte-1.pdf

15 páginas

He publicado nuevos practicas de 3º Accionamientos Eléctricos: Practica-4-Parte-2.pdf

11 páginas

He publicado nuevos practicas de 3º Accionamientos Eléctricos: Practica-6.pdf

21 páginas

He publicado nuevos examenes de 4º Accionamientos Eléctricos: PreguntastipoexamenMecanicos.pdf

2 páginas

He publicado nuevos examenes de 4º Accionamientos Eléctricos: ExAENoviembre2012.pdf

3 páginas

He publicado nuevos examenes de 4º Accionamientos Eléctricos: ExAEDiciembre2013.pdf

4 páginas

He publicado nuevos examenes de 4º Accionamientos Eléctricos: AEIINDjunio2013SOL.pdf

7 páginas

He publicado nuevos examenes de 4º Accionamientos Eléctricos: AEIINDenero2014SOL.pdf

7 páginas

He publicado nuevos examenes de 4º Accionamientos Eléctricos: ProblemasmotorDCconvertidorsolucion.pdf

4 páginas

He publicado nuevos examenes de 4º Accionamientos Eléctricos: ProblemasmotorDCconvertidor.pdf

2 páginas

He publicado nuevos examenes de 4º Accionamientos Eléctricos: PreguntastipoexamenMecanicossolucion.pdf

5 páginas

Asignatura completa, teoría + ejercicios resueltos

18 páginas

He publicado nuevos ejercicios de 3º Accionamientos Eléctricos: Ejercicios-nivel-examen.pdf

13 páginas

He publicado nuevos ejercicios de 3º Accionamientos Eléctricos: Boletin-resuelto-MCC.pdf

12 páginas

He publicado nuevos ejercicios de 3º Accionamientos Eléctricos: Ejercicios-de-clase-UD4.pdf

7 páginas

He publicado nuevos ejercicios de 3º Accionamientos Eléctricos: Ejercicios-de-clase-UD5.pdf

10 páginas

He publicado nuevos ejercicios de 3º Accionamientos Eléctricos: Boletin-resuelto-UD4.pdf

14 páginas

He publicado nuevos ejercicios de 3º Accionamientos Eléctricos: Ejercicio-de-clase-MCC.pdf

2 páginas

He publicado nuevos ejercicios de 3º Accionamientos Eléctricos: Problema-6-MAT.pdf

2 páginas

He publicado nuevos ejercicios de 3º Accionamientos Eléctricos: EJERCICIO-CLASE-PROTECCIONES.pdf

1 página