
Grado en Ingeniería de Tecnologías Industriales (UPNA)
Pamplona
Asignaturas de Grado en Ingeniería de Tecnologías Industriales (UPNA)
Asignatura
arrow_downward4º
•
31 posts
4º
•
3 posts
3º
•
17 posts
1º
•
39 posts
3º
•
33 posts
3º
•
22 posts
3º
•
9 posts
2º
•
53 posts
2º
•
53 posts
2º
•
61 posts
4º
•
0 posts
3º
•
32 posts
4º
•
0 posts
1º
•
34 posts
3º
•
9 posts
2º
•
103 posts
3º
•
9 posts
3º
•
66 posts
1º
•
54 posts
3º
•
24 posts
1º
•
57 posts
4º
•
1 posts
1º
•
8 posts
4º
•
3 posts
4º
•
1 posts
3º
•
45 posts
4º
•
0 posts
2º
•
34 posts
4º
•
3 posts
3º
•
60 posts
1º
•
68 posts
4º
•
0 posts
4º
•
27 posts
4º
•
1 posts
4º
•
0 posts
1º
•
17 posts
4º
•
1 posts
4º
•
0 posts
4º
•
23 posts
2º
•
110 posts
4º
•
16 posts
3º
•
7 posts
3º
•
7 posts
4º
•
0 posts
2º
•
82 posts
4º
•
16 posts
4º
•
0 posts
1º
•
30 posts
1º
•
47 posts
2º
•
64 posts
4º
•
1 posts
2º
•
101 posts
3º
•
44 posts
3º
•
29 posts
4º
•
11 posts
4º
•
53 posts
1º
•
64 posts
4º
•
11 posts
4º
•
5 posts
4º
•
1 posts
3º
•
11 posts
3º
•
36 posts
4º
•
13 posts
4º
•
28 posts
4º
•
0 posts
3º
•
34 posts
4º
•
31 posts
3º
•
51 posts
4º
•
22 posts
3º
•
41 posts
2º
•
54 posts
4º
•
4 posts
3º
•
41 posts
Últimas publicaciones de Grado en Ingeniería de Tecnologías Industriales (UPNA)
He publicado nuevos apuntes de 2º Control Automático: Tema-1-sistemas-y-control.pdf
He publicado nuevos apuntes de 2º Elasticidad y Resistencia de Materiales: Theory-of-elasticity.pdf
Apuntes, Ejercicios y Demostraciones de los temas 3 y 4 de Métodos numéricos. Para el Segundo Parcial.
Apuntes, Ejercicios y Demostraciones de los temas 1 y 2 de Métodos numéricos. Primer parcial.
apuntes
-
Resumen, examen
Es todo el contenido necesario para poder entender y realizar ejercicios de la asignatura.
Estos son apuntes y ejercicios de la asignatura de ingeniería térmica de cuarto de carrera. Son apuntes que también sirven para estudiar Transmisión de Calor y la parte de térmica del Master en ingeniería industrial.
He publicado nuevos apuntes de 4º Sistemas Electrónicos Analógicos: Tema3FiltrosSbl.pdf
He publicado nuevos apuntes de 4º Sistemas Electrónicos Analógicos: Tema2OscilTeoriaSbl.pdf
He publicado nuevos ejercicios de 4º Sistemas Electrónicos Analógicos: Tema2OscilEjerciciosSbl.pdf
He publicado nuevos apuntes de 4º Sistemas Electrónicos Analógicos: Tema1AmpliTeoriaSbl.pdf
He publicado nuevos ejercicios de 4º Sistemas Electrónicos Analógicos: Tema1AmpliEjerciciosSbl.pdf
ejercicios
-
Problems Electric Machines
En los problemas de máquinas síncronas recomiendo descargar el archivo y verlo de forma que se vea como un libro (dos caras al mismo tiempo), ya que hay algún problema que ocupa mas a lo ancho.
OFERTA LABORAL 10€/HORA por 3 HORAS el 29 ENERO
Buscamos game masters escape room urbano 🕵️♂️🗺️ Si te mola dinamizar grupos, la aventura y los juegos de lógica y buscas un trabajo para compaginar con los estudios… esta oferta es para ti 👇 📅 Día: 29 de enero ⏰ Duración: de 12:00 a 15:00 🏙️ Lugar: centro de Pamplona 💸 Salario: 10€/h netos 🧩 ¿Qué harás? Dinamizar una gymkana con pruebas de lógica Guiar a los participantes por la ciudad Dar pistas, entretener y mantener la experiencia activa y divertida Ser la “cara” del juego durante toda la actividad
Enunciado examen ordinario TMA 2025/2026 teoría (salvo el problema 2) + prácticas
He publicado nuevos examenes de 2º Ingeniería de Fluidos: ORDINARIO-FLUIDOS-23-24.pdf
examenes
-
Exámenes resueltos (2011 hasta 2026)
Exámenes parciales, recuperaciones, ordinarias y extraordinarias resueltos
He publicado nuevos examenes de 2º Termodinámica: EXTRAORDINARIO-TERMO-24-25.pdf
He publicado nuevos examenes de 2º Ingeniería de Fluidos: ORDINARIO-FLUIDOS-24-25.pdf
He publicado nuevos examenes de 2º Ingeniería de Fluidos: Solucion-Examen-ordinario-25-26copia.pdf
He publicado nuevos ejercicios de 2º Termodinámica: ciclo-ideal-de-refrigeracion-10.1-termo.pdf
He publicado nuevos ejercicios de 2º Termodinámica: Ciclo-de-refrigeracion-con-intercambiador-intermedio-10.16-termo.pdf
He publicado nuevos ejercicios de 2º Termodinámica: Compresion-multietapa-con-refrigeracion-intermedia-10.14-termo.pdf
He publicado nuevos examenes de 1º Matemáticas I: examen-ordinario-2025-2026.pdf
He publicado nuevos apuntes de 3º Fundamentos de fabricación: Solucion-del-problema-no-4.pdf
He publicado nuevos apuntes de 3º Fundamentos de fabricación: Solucion-del-problema-no-5.pdf
He publicado nuevos apuntes de 3º Fundamentos de fabricación: Solucion-del-problema-no-3.pdf
He publicado nuevos apuntes de 3º Fundamentos de fabricación: Solucion-del-problema-no-2.pdf
He publicado nuevos ejercicios de 3º Fundamentos de fabricación: ProblemaA.pdf
He publicado nuevos ejercicios de 3º Fundamentos de fabricación: ProblemaI.pdf
He publicado nuevos apuntes de 3º Transmisión de Calor: Ejercicios-de-Transmision-de-calor-2018-2019.pdf
He publicado nuevos examenes de 2º Ingeniería de Fluidos: EXTRAORDINARIO FLUIDOS 22-23.pdf
He publicado nuevos examenes de 2º Ingeniería de Fluidos: ORDINARIO FLUIDOS 25-26.pdf
He publicado nuevos test de 4º Robótica Industrial: TEST2estudioInversayMovDiferencial.pdf
He publicado nuevos test de 4º Robótica Industrial: Test2-Cinematica-inversa-y-Relaciones-Infinitesimales.pdf
He publicado nuevos examenes de 2º Termodinámica: Temo20260108Soluciones.pdf
He publicado nuevos examenes de 2º Termodinámica: ORDINARIO TERMO 25-26.pdf
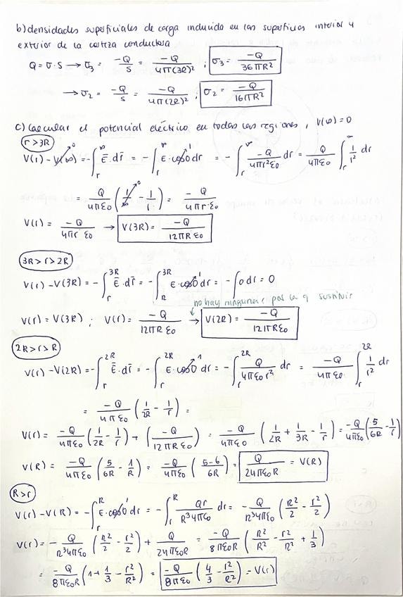
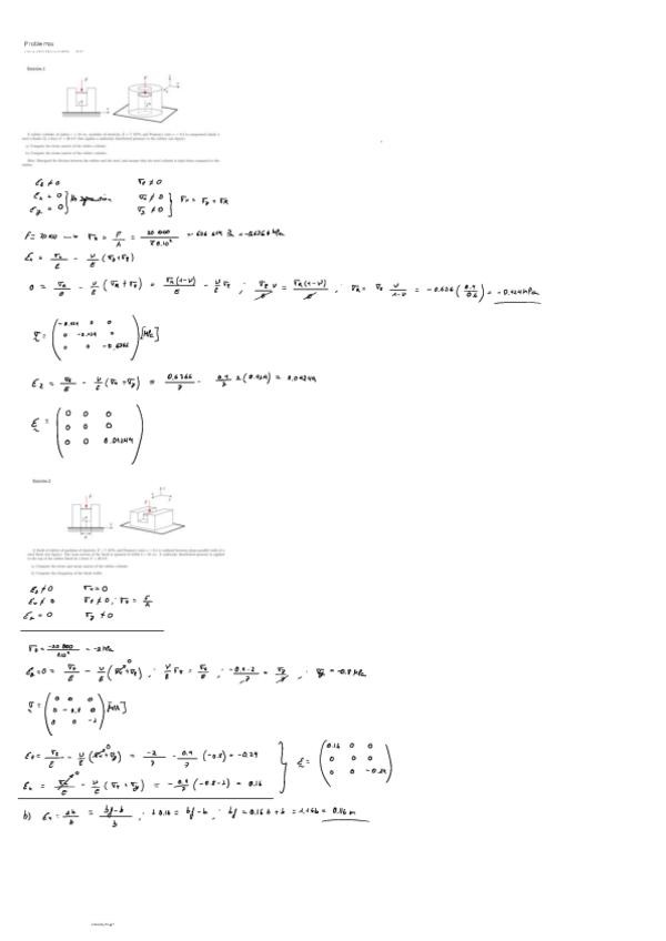
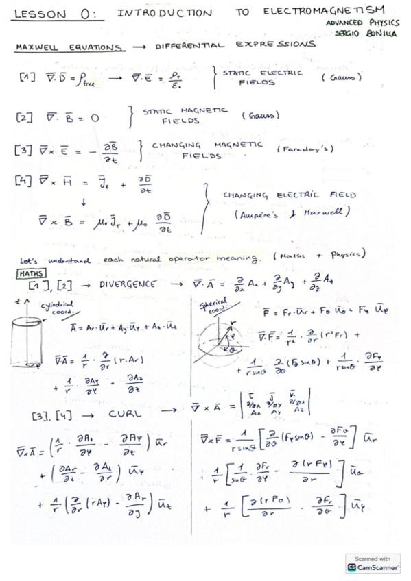
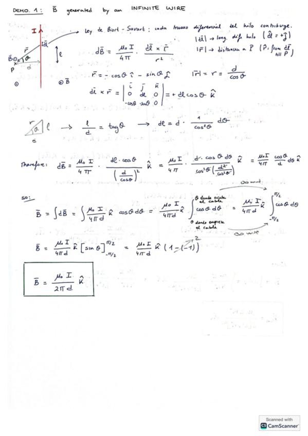
He publicado nuevos apuntes de 3º Física Avanzada: Tema4ElectromagneticWavesSbl.pdf
He publicado nuevos examenes de 3º Física Avanzada: Tema3EjsMagneticCyHystheresisSbl.pdf
He publicado nuevos apuntes de 3º Física Avanzada: Tema2MagneticMaterialsSbl.pdf
He publicado nuevos apuntes de 3º Física Avanzada: Tema1MagnetismOfMatterSbl.pdf
He publicado nuevos apuntes de 3º Física Avanzada: Tema0IntegralesGeometriasSbl.pdf
He publicado nuevos apuntes de 3º Física Avanzada: Tema0HemholtzTheoremSbl.pdf
He publicado nuevos examenes de 3º Física Avanzada: ResumenTema0EXMSbl.pdf
He publicado nuevos examenes de 3º Física Avanzada: ImportantedelTema1EXMSbl.pdf
He publicado nuevos examenes de 3º Física Avanzada: CuestionesyClassProblemsSbl.pdf
examenes
-
2.Parcial Empresa parte práctica
Segundo exámen parte práctica 2025-26
He publicado nuevos examenes de 2º Termodinámica: ORDINARIO TERMO 24-25.pdf
He publicado nuevos examenes de 2º Matemáticas III: EXTRAORDINARIO MATES III 24-25.pdf
He publicado nuevos examenes de 2º Termodinámica: Examen-Recu-24-25.pdf
He publicado nuevos examenes de 2º Termodinámica: Examen-Ordinario-24-25.pdf
He publicado nuevos examenes de 2º Matemáticas III: ORDINARIO MATES III 24-25.pdf
He publicado nuevos apuntes de 2º Ingeniería de Fluidos: DEMOSTRACIONES-FLUIDOS.pdf
trabajos
-
Tarea2_Diagrama de Fase. Energía libre
Tarea 2 completa de ciencia de materiales. La tarea consiste en elaborar el diagrama de fase de una aleación a partir de ciertos datos de energía libre de la fase liquida para varias temperaturas y composiciones. Se calculan los datos de energías para fas
apuntes
-
Presentaciones Empresa
Todas las presentaciones usadas para la asignatura de Empresa en Ingenieria industrial.
