Portada
Asignatura
Grado en Ingeniería de Organización Industrial (UVIGO)
Administración de Empresas
Fecha de subida
01 oct 2024
Categoría
examenes
Etiquetas
Apuntes - APUNTES-AE-COMPLETOS.pdf
pdf
57 páginas
38
0
Exámenes - EXAMEN-JUNIO23-Y-ENERO24.pdf
12 páginas
1
Exámenes - Recopilatorio-TEST-AE-2018.pdf
5 páginas
37
Apuntes - AE-TEST-2024-tecas.pdf
3 páginas
44
Exámenes - Recopilatorio-TEST-AE-2017-18-resuelto.pdf
13 páginas
Exámenes - Recopilatorio-TEST-AE-17-18.pdf
9 páginas
Exámenes - EXAMEN-JUNIO-2024.pdf
40
Exámenes - Recopilatorio-TEST-AE.pdf
31
Exámenes - Recopilatorio-ejercicios-TEST-AE-resueltos.pdf
Exámenes - Recopilatorio-ejercicios-TEST-AE.pdf
10 páginas
28
Exámenes - EXAMEN-ENERO-2021.pdf
27 páginas
19
Ejercicios - EXAMEN-AE-ENERO-2024.pdf
6 páginas
33
Exámenes - EXAMEN-05.12.14.pdf
2 páginas
4
Exámenes - EXAMEN-DICIEMBRE-1718.pdf
17
Exámenes - EXAMEN-JULIO-2015.pdf
16
Exámenes - EXAMEN-DICIEMBRE-2013.pdf
18 páginas
15
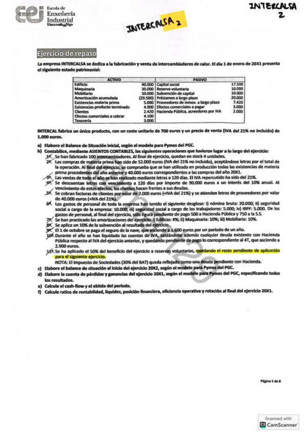
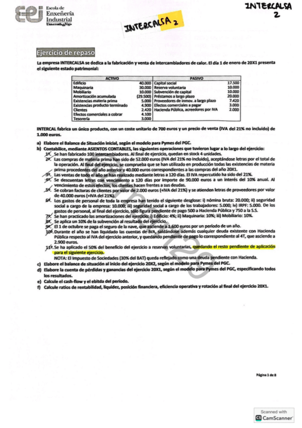
Apuntes - Ejercicio-repaso-CASO-INTERCALSA.pdf
8 páginas
Exámenes - EXAMEN-INTERCALSA-2-AMF.pdf
12
Exámenes - EXAMEN-14.01.14.pdf
13
Exámenes - EXAMEN-09.12.14.pdf