EsqueridaB52
PRACTICA AERORREACTORES
ej1.m
ej2.m
ej3.m
funcciclo.m
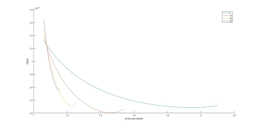
grafica-ej1-ap-2.jpg
grafica-ej1-ap1.fig
grafica-ej1-ap1.jpg
Machdevuelo.m
perdidapresiontoberasecundaria.m
picompresoralta.m
Practicadereactores.docx
rendimientodifusor.m
rendimientofansec.m
Resultados.xlsx
variacionaltitud.m
variacionT4t.m
Apuntes - RECOPILACION-DE-TESTS-AERORREACTORES-CORREGIDOS.pdf
pdf
7 páginas
90
0
Apuntes - RECOPILACION-TESTS-AERORREACTORES.docx
docx
69
Apuntes - RECOPILACION-DE-TESTS-AERORREACTORES-CORREGIDOS.docx
66
Apuntes - T1-AERORREACTORES-BUENO.pdf
15 páginas
77
1
Apuntes - EjemploExamenAyA-1.pdf
72
Apuntes - Preguntas-Tipo-Test-Aerorreactores-1.pdf
6 páginas
67
Apuntes - T3-AERORREACTORES.pdf
16 páginas
76
Apuntes - Examen-2020-2021-Aeroacustica-1.pdf
5 páginas
65
Apuntes - ACUSTICATEST-resuelto.pdf
8 páginas
64
Apuntes - PREGUNTAS-TIPO-TEST-AEROACUSTICA.pdf
10 páginas
56
Apuntes - T2-AERORREACTORES.pdf
60
Apuntes - Examen-aeroacustica.pdf
4 páginas
52
Apuntes - PREGUNTAS-TIPO-TEST-AEROACUSTICA.docx
44
Apuntes - PreguntassoluciontESTPAU.pdf
54
Apuntes - ACUSTICAOPCIONESMARCADASIMAGENES.pdf
12 páginas
49
Apuntes - Practicadereactores.docx
36
Apuntes - ej1.m
m
26
Apuntes - Guion-AR1AR2.docx
Apuntes - TEMA-1.pdf
32
30