2017 Diciembre Método Numérico de Alas.pdf

Aerolf

Exámenes Resueltos

10 archivos·

Ejercicios de examen resueltos

2017 Diciembre Método Numérico de Alas.pdf

1 página

2017 Diciembre Potencial Tridimensional.pdf

1 página

2017 Septiembre Potencial Tridimensional.pdf

2 páginas

2017 Septiembre Teoría Ala Larga.pdf

2 páginas

2018 Febrero Potencial Tridimensional.pdf

1 página

2018 Febrero Teoría Potencial Linealizada de Perfiles y Ala Larga.pdf

2 páginas

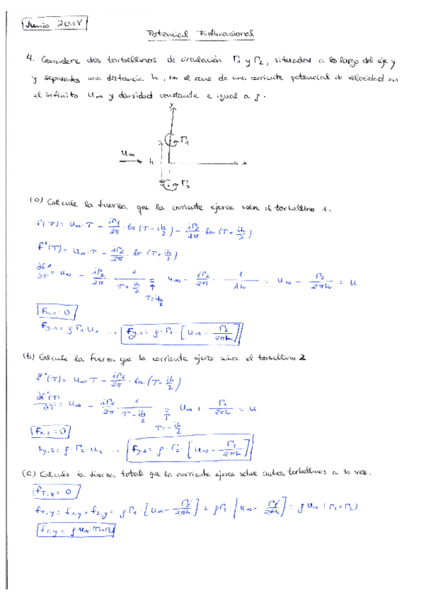
2018 Junio Potencial Tridimensional.pdf

1 página

2018 Junio Potencial Bidimensional.pdf

2 páginas

2018 Junio Método Numérico de Alas.pdf

2 páginas

2018 Junio Alas de Gran Alargamiento.pdf

2 páginas

content_copy

Archivos recomendados