Portada
Asignatura
Grado en Ingeniería de las Tecnologías de la Información Geoespacial (UPM)
Ajuste de Observaciones
Fecha de subida
05 nov 2020
Categoría
apuntes
Etiquetas
Apuntes - 1parcial-ajustes.pdf
pdf
55 páginas
21
2
Apuntes - Ecuaciones-de-condicion.pdf
3 páginas
38
0
Apuntes - Resumen-2-parcial.pdf
5 páginas
47
Apuntes - Ecuaciones-parametricas.pdf
10 páginas
31
Apuntes - Problemas-T6.pdf
25
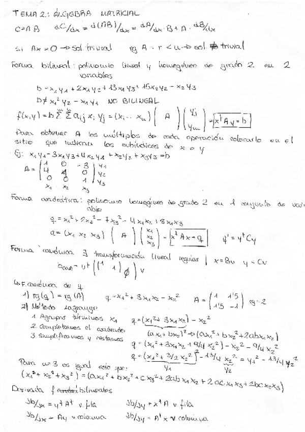
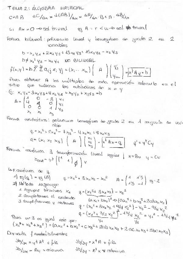
Apuntes - Resumen-tema-2-algebra-matricial.pdf
2 páginas
Apuntes - Resumen-algebra.pdf
1 página
32
Apuntes - Algebra-1.pdf
4 páginas
Apuntes - Propagacion-de-errores.pdf
11 páginas
40
Apuntes - Estadistica.pdf
6 páginas
Apuntes - Teoria-de-errores.pdf
24
Apuntes - Resumen-T4.pdf
22
Apuntes - Resumen-tema-5-propagacion.pdf
18
Apuntes - Apuntes-T6.pdf
8 páginas
19
Apuntes - Resumen-Estadistica.pdf
27
Apuntes - Resumen-tema-3-estadistica.pdf
13
Apuntes - Resumen-tema-4-errores.pdf
14
Apuntes - Tema-1.pdf
9
Apuntes - examen-1-parcial-2020-2021.pdf
15
Apuntes - Tema-2.pdf