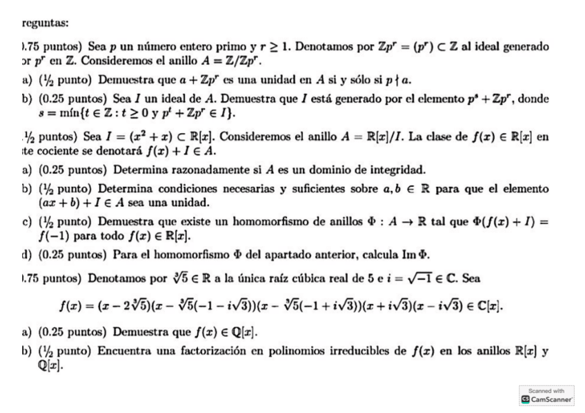
Todo
Apuntes
Ejercicios
Exámenes
publication
Test
chevron_left
chevron_right

apuntes

-

Álgebra Básica

Apuntes y ejercicios de clase

apuntes-tema-2-algebra-basica.pdf
Apuntes-y-Ejercicios-Tema-1-a.-basica.pdf
T3-Apuntes-y-Ejercicios-Tema-3.-Estructuras-AB.pdf
Esquema-Resumen-Tema-3-Estructuras.pdf
Anónimo

@Anónimo

Complemento para estudiar la asignatura. Se resuelven congruencias paso a paso, anillos cocientes, permutaciones, y varios ejemplos sobre conceptos importantes que suelen aparecer en exámenes.

104 páginas

ejercicios

-

Ejercicios

He publicado nuevos ejercicios de 1º Algebra Básica: Ejercicios

Ejercicios-tema-4.pdf
Ejercicios-tema-3-basica.pdf

He publicado nuevos examenes de 1º Algebra Básica: EXAMEN-2a-CONVOCATORIA-2425.pdf

4 páginas
Anónimo

@Anónimo

He publicado nuevos examenes de 1º Algebra Básica: RESUELTO-Primera-Convocatoria-24-25-TEMA-2.pdf

4 páginas

Resumen de todo el temario de la asignatura. Se han utilizado tanto los apuntes del departamento como notas de clase de algunos profesores para la elaboración de este documento.

49 páginas

examenes

-

1a Convocatoria resuelta 24/25- AB

He publicado nuevos examenes de 1º Algebra Básica: 1a Convocatoria resuelta 24/25- AB

Enunciados-1a-Convicatoria-2024-25-AB.pdf
Soluciones-1a-Convocstoria-2425-AB.pdf

Examen de convocatoria de Álgebra Básica corregido. La corrección de este examen fue calificada con un 10MH. Evidentemente no está calcada porque no me acuerdo exactamente de lo que puse como es normal (;3). Sentíos libres de preguntar dudas al wasap ns s

5 páginas
Anónimo

@Anónimo

He publicado nuevos examenes de 1º Algebra Básica: RESUELTO-Primera-Convocatoria-24-25-TEMA-1.pdf

4 páginas

He publicado nuevos examenes de 1º Algebra Básica: Examen1conv2025.pdf

5 páginas

apuntes

-

Apuntes Completos Álgebra Básica

Grupo 4 2024-2025

Tema 1. Lógica y conjuntos.pdf
Tema 2.1. Aplicaciones I.pdf
Tema 2.2. Aplicaciones II.pdf
Tema 3. Enteros.pdf
Tema 4.1. Grupos I.pdf
Tema 4.2. Grupos II.pdf

apuntes

-

APUNTES + EJERCICIOS DE TODOS LOS TEMAS DE ÁLGEBRA BÁSICA

He publicado nuevos apuntes de 1º Algebra Básica: APUNTES + EJERCICIOS DE TODOS LOS TEMAS DE ÁLGEBRA BÁSICA

AB-TEMA-1-CONJUNTOS-APLICACIONES-Y-CONGRUENCIA-APUNTES-DE-CLASE--EJERCICIOS.pdf
AB-TEMA-2-GRUPOS-APUNTES-DE-CLASE--EJERCICIOS.pdf
AB-TEMA-3-ANILLOS-APUNTES-DE-CLASE--EJERCICIOS.pdf

apuntes

-

APUNTES + EJERCICIOS DE TODOS LOS TEMAS DE ÁLGEBRA BÁSICA

He publicado nuevos apuntes de 1º Algebra Básica: APUNTES + EJERCICIOS DE TODOS LOS TEMAS DE ÁLGEBRA BÁSICA

AB-TEMA-1-CONJUNTOS-APLICACIONES-Y-CONGRUENCIA-APUNTES-DE-CLASE--EJERCICIOS.pdf
AB-TEMA-1-CONJUNTOS-APLICACIONES-Y-CONGRUENCIA-APUNTES-DE-CLASE--EJERCICIOS.pdf
AB-TEMA-2-GRUPOS-APUNTES-DE-CLASE--EJERCICIOS.pdf
AB-TEMA-2-GRUPOS-APUNTES-DE-CLASE--EJERCICIOS.pdf
AB-TEMA-3-ANILLOS-APUNTES-DE-CLASE--EJERCICIOS.pdf
AB-TEMA-3-ANILLOS-APUNTES-DE-CLASE--EJERCICIOS.pdf

apuntes

-

APUNTES + EJERCICIOS DE TODOS LOS TEMAS DE ÁLGEBRA BÁSICA

He publicado nuevos apuntes de 1º Algebra Básica: APUNTES + EJERCICIOS DE TODOS LOS TEMAS DE ÁLGEBRA BÁSICA

AB-TEMA-1-CONJUNTOS-APLICACIONES-Y-CONGRUENCIA-APUNTES-DE-CLASE--EJERCICIOS.pdf
AB-TEMA-2-GRUPOS-APUNTES-DE-CLASE--EJERCICIOS.pdf
AB-TEMA-3-ANILLOS-APUNTES-DE-CLASE--EJERCICIOS.pdf

apuntes

-

APUNTES + EJERCICIOS DE TODOS LOS TEMAS DE ÁLGEBRA BÁSICA

He publicado nuevos apuntes de 1º Algebra Básica: APUNTES + EJERCICIOS DE TODOS LOS TEMAS DE ÁLGEBRA BÁSICA

AB-TEMA-1-CONJUNTOS-APLICACIONES-Y-CONGRUENCIA-APUNTES-DE-CLASE--EJERCICIOS.pdf
AB-TEMA-1-CONJUNTOS-APLICACIONES-Y-CONGRUENCIA-APUNTES-DE-CLASE--EJERCICIOS.pdf
AB-TEMA-2-GRUPOS-APUNTES-DE-CLASE--EJERCICIOS.pdf
AB-TEMA-2-GRUPOS-APUNTES-DE-CLASE--EJERCICIOS.pdf
AB-TEMA-3-ANILLOS-APUNTES-DE-CLASE--EJERCICIOS.pdf
AB-TEMA-3-ANILLOS-APUNTES-DE-CLASE--EJERCICIOS.pdf

He publicado nuevos ejercicios de 1º Algebra Básica: Ejercicios-de-examen-primer-parcial.pdf

5 páginas

He publicado nuevos ejercicios de 1º Algebra Básica: Ejercicios-de-examen-segundo-parcial.pdf

5 páginas
Anónimo

@Anónimo

He publicado nuevos examenes de 1º Algebra Básica: Segundo-Parcial-Mercedes-2024-2025.pdf

8 páginas

apuntes

-

Exámenes Segunda y Tercera Convocatoria

He publicado nuevos apuntes de 1º Algebra Básica: Exámenes Segunda y Tercera Convocatoria

Examen-Segnd-Convocatoria.-Algebra-Basic.pdf
Examen-Tercer-Convocatoria.-Algebra-Basi.pdf
Examen-Segunda-Convocatoria.-Algebra-Bas-2.pdf
Examen-Segunda-Convocatoria.-Algebra-Bas.pdf
Examen-Tercera-Convocatoria.-Algebra-bas.pdf
Examen-Tercera-Convocatoria.-Algebra-Bas.pdf

Exámenes y ejercicios de álgebra básica solucionados.

41 páginas

He publicado nuevos apuntes de 1º Algebra Básica: Grupos-Temario-de-Apoyo.pdf

38 páginas
Anónimo

@Anónimo

He publicado nuevos apuntes de 1º Algebra Básica: Temario-Completo-Algebra-Basica.pdf

193 páginas

Ejercicios oficiales de los TEmas 1, 2, 3 y 4.

21 páginas

He publicado nuevos apuntes de 1º Algebra Básica: APUNTES-ANILLOS.pdf

2 páginas

He publicado nuevos examenes de 1º Algebra Básica: RESUELTO-SEGUNDO-PARCIAL-GRUPO-E-18-19.pdf

6 páginas
Anónimo

@Anónimo

He publicado nuevos examenes de 1º Algebra Básica: RESUELTO-SEGUNDO-PARCIAL-GRUPO-F-19-20.pdf

6 páginas

He publicado nuevos examenes de 1º Algebra Básica: RESUELTO-SEGUNDO-PARCIAL-GRUPO-B-21-22.pdf

5 páginas

He publicado nuevos examenes de 1º Algebra Básica: RESUELTO-SEGUNDO-PARCIAL-GRUPO-D-21-22.pdf

7 páginas
Anónimo

@Anónimo

He publicado nuevos examenes de 1º Algebra Básica: PRIMER-PARCIAL-RESUELTO-GRUPO-D-21-22.pdf

4 páginas

He publicado nuevos examenes de 1º Algebra Básica: Examen-Convocatoria-Basica-2024-2025.pdf

8 páginas
Anónimo

@Anónimo

He publicado nuevos examenes de 1º Algebra Básica: PRIMER-PARCIAL-RESUELTO-22-23.pdf

4 páginas

He publicado nuevos apuntes de 1º Algebra Básica: EXAMEN-RESUELTO-ANILLOS-2023-2024.pdf

4 páginas

He publicado nuevos apuntes de 1º Algebra Básica: SEGUNDO-PARCIAL-RESUELTO-24-25.pdf

7 páginas

He publicado nuevos apuntes de 1º Algebra Básica: EXAMEN-RESUELTO-ANILLOS-22-23.pdf

5 páginas

Resumen Temas 1, 2 y 3 Fundamentos, Grupos y Anillos, de Álgebra Básica

17 páginas

Resumen Temas 1, 2 y 3 Fundamentos, Grupos y Anillos, de Álgebra Básica

17 páginas

Resumen Temas 1, 2 y 3 Fundamentos, Grupos y Anillos, de Álgebra Básica

17 páginas

Resumen Temas 1, 2 y 3 Fundamentos, Grupos y Anillos, de Álgebra Básica

17 páginas

Resumen Tema 3 Anillos, de Álgebra Básica

3 páginas

Resumen Tema 3 Anillos, de Álgebra Básica

3 páginas

Resumen Tema 3 Anillos, de Álgebra Básica

3 páginas

Resumen Tema 3 Anillos, de Álgebra Básica

3 páginas

ejercicios

-

Ejercicios con soluciones Tema III- Álgebra Básica

He publicado nuevos ejercicios de 1º Algebra Básica: Ejercicios con soluciones Tema III- Álgebra Básica

Enunciados-Tema-III-Algebra-Basica.pdf
Soluciones-Tema-III-Parte-I-Algebra-Basica.pdf
Soluciones-Tema-III-Parte-II-Algebra-Basica.pdf
Soluciones-Tema-III-Parte-III-Algebra-Basica.pdf

ejercicios

-

Ejercicios con solución Tema I- Álgebra Básica

He publicado nuevos ejercicios de 1º Algebra Básica: Ejercicios con solución Tema I- Álgebra Básica

rel-AB-principal.pdf
Soluciones-Tema-I-Parte-I-Algebra-basica.pdf
Soluciones-Tema-I-Parte-II-Algebra-basica.pdf

ejercicios

-

Ejercicios con soluciones Tema II- Álgebra Básica

He publicado nuevos ejercicios de 1º Algebra Básica: Ejercicios con soluciones Tema II- Álgebra Básica

Enunciados-Tema-II-Algebra-Basica.pdf
Soluciones-Tema-II-Parte-I-Algebra-Basica.pdf
Soluciones-Tema-II-Parte-II-Algebra-Basica.pdf
Soluciones-Tema-II-Parte-III-Algebra-Basica.pdf
Soluciones-Tema-II-Parte-IV-Algebra-Basica.pdf

apuntes

-

Apuntes Teoría Álgebra Básica

Mezcla de apuntes del departamento con apuntes dados en clase, casi todos por Muro.

Tema-1.-Fundamentos-y-los-Enteros.pdf
Tema-2.-Grupos.pdf
Tema-3.-Anillos-y-Polinomios.pdf

Resumen Tema 2 Grupos, de Álgebra Básica

5 páginas

Resumen Tema 2 Grupos, de Álgebra Básica

5 páginas

Resumen Tema 2 Grupos, de Álgebra Básica

5 páginas

Resumen Tema 2 Grupos, de Álgebra Básica

5 páginas

Ejericicios resueltos de exámenes de años anteriores: Conjuntos, enteros y grupos

38 páginas

Resumen Tema 1 Fundamentos, de Álgebra Básica

9 páginas

Resumen Tema 1 Fundamentos, de Álgebra Básica

9 páginas

Resumen Tema 1 Fundamentos, de Álgebra Básica

9 páginas

Resumen Tema 1 Fundamentos, de Álgebra Básica

9 páginas

277 páginas de exámenes para que no te aburras

277 páginas

He publicado nuevos apuntes de 1º Algebra Básica: Examen-Tercera-Convocatoria-Octubre-2024.pdf

9 páginas

Resumen de la teoría del capítulo 2 del Tema 1

20 páginas

Incluye glosario de los principales grupos finitos del temario, ordenados por orden

7 páginas

Incluye demostraciones de la mayoría de proposiciones. Va desde la introducción a los conjuntos hasta las ecuaciones modulares. La parte de aplicaciones está reorganizada para darle sentido al popurrí que nos hicieron entre 3 profesores distintos.

6 páginas