sasukan
ENTREGABLES
Entregable
EntregableTema3Ejercicio5.pdf
1 página
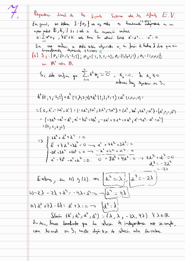
EntregableTema3Ejercicio7i.pdf
Ejercicios - T3-Espacios-Vectoriales-Boletin.pdf
pdf
19 páginas
5
0
Apuntes - Algebra-y-Geometria-I.pdf
60 páginas
3
Ejercicios - T2-Estructuras-Algebraicas-Boletin.pdf
12 páginas
4
Exámenes - Problemas-2019.pdf
13 páginas
Ejercicios - EntregableTema3Ejercicio5.pdf
1
Ejercicios - EntregableTema3Ejercicio7i.pdf
Ejercicios - T1-Numeros-Complejos-Boletin.pdf
3 páginas
Ejercicios - T4-Aplicaciones-lineales-Boletin.pdf
9 páginas
Ejercicios - T5-Espacios-PreHilbert-Boletin.pdf
11 páginas
Exámenes - Problemas-2010.pdf
2
Exámenes - Problemas-2011-enero.pdf
8 páginas