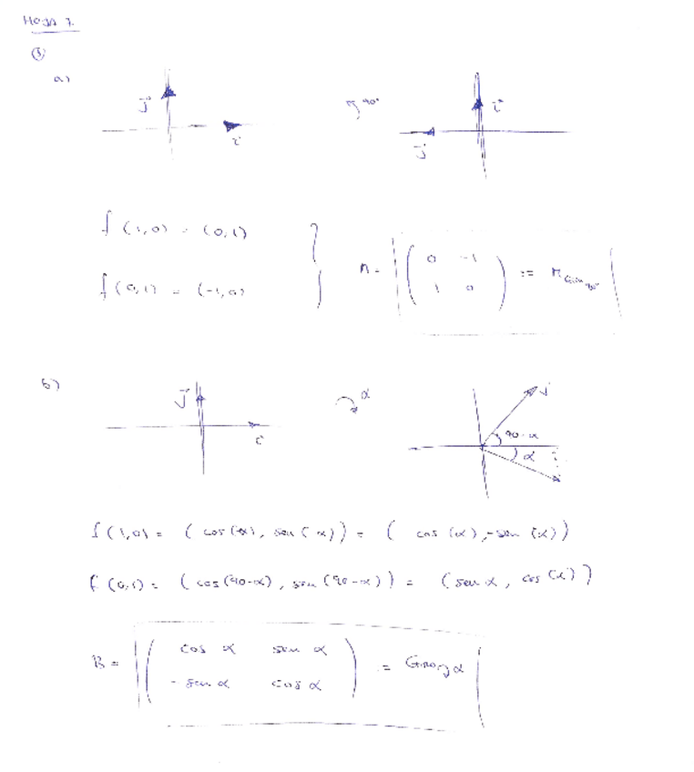
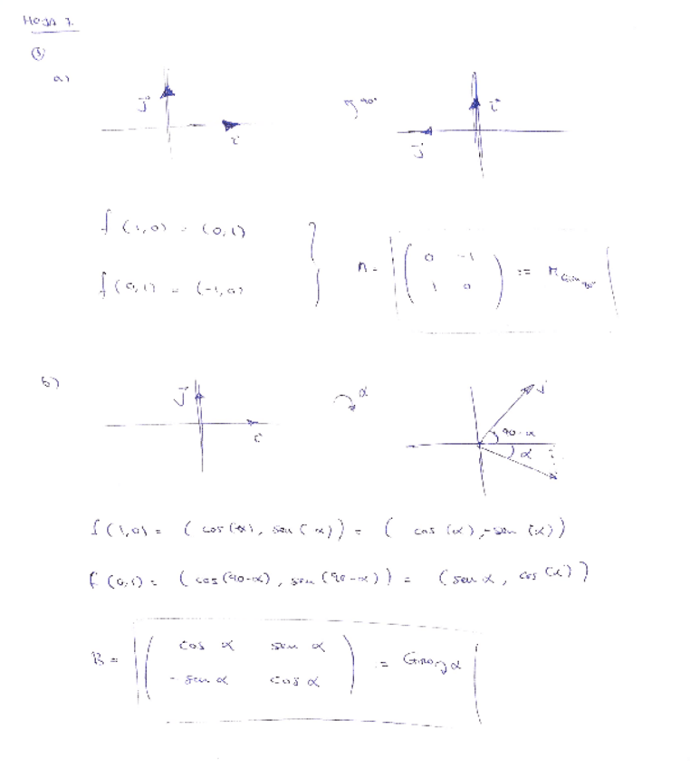
HOJA 7 1a mitad EJERCICIOS RESUELTOS.pdf

JorgeAcebes

EJERCICIOS RESUELTOS ALGEBRA I

11 archivos·

Algunos de los ejercicios de las hojas resueltos. NO corregidos por el profesor. Correo en mi bio para comunicación de errores

HOJA 7 1a mitad EJERCICIOS RESUELTOS.pdf

12 páginas

HOJA 7 2a mitad EJERCICIOS-RESUELTOS

6 páginas

HOJA-8-1a-mitad EJERCICIOS-RESUELTOS.pdf

7 páginas

EJERCICIOS-HOJA-6.pdf

9 páginas

CORRECCION-11-y-12-Hoja-7.png

CORRECCIÓN EJERCICIO 7 Hoja 7

Corrección Hoja 8 Ejercicio 6a

Corrección Hoja 7 Ejercicio 8

IMG-20221128-WA0007.jpg

HOJA-8-2a-Mitad.pdf

17 páginas

HOJA-9.pdf

10 páginas

content_copy

Archivos recomendados