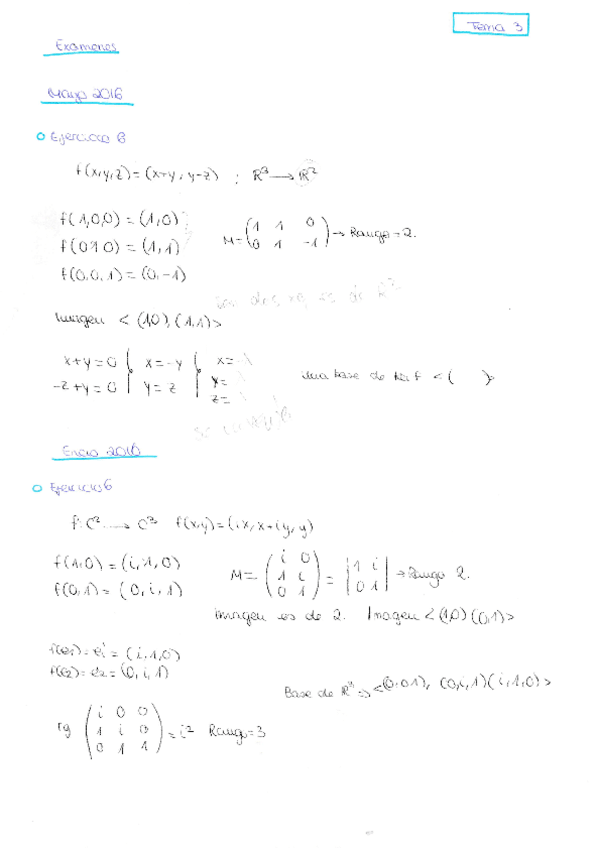
ilovepdfmerged.pdf
Anónimo
Portada
Asignatura
account_balance
Grado en Matemáticas (UEX)
Fecha de subida
16 jul 2019
Categoría
examenes
Etiquetas
content_copy
Anónimo
Portada
Asignatura
Grado en Matemáticas (UEX)
Fecha de subida
16 jul 2019
Categoría
examenes
Etiquetas