Álgebra Lineal I

chevron_left
chevron_right
Todo
Apuntes
Ejercicios
Exámenes
chevron_left
chevron_right

apuntes

-

Ejercicios

He publicado nuevos apuntes de 1º Álgebra Lineal I: Ejercicios

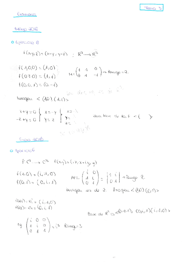
EJERCICIOS-ENDOMORFISMOS.pdf
EJERCICIOS-GEOMETRIA-EUCLIDEA.pdf
RECOPILACION-PROBLEMAS.pdf
Ejercicios-aplicaciones-lineales.pdf

He publicado nuevos examenes de 1º Álgebra Lineal I: examenfisicas1.pdf

12 páginas

He publicado nuevos ejercicios de 1º Álgebra Lineal I: problemasfisicas1-1-1.pdf

22 páginas

He publicado nuevos examenes de 1º Álgebra Lineal I: Corregidos-Algebra-Lineal-I.pdf

15 páginas

He publicado nuevos apuntes de 1º Álgebra Lineal I

Miniatura no disponible
https://matematicas.unex.es/~navarro/algebralineal/

Guía práctica sobre los ejercicios de J. Antonio Navarro González.

22 páginas

ejercicios

-

Ejs relaciones

He publicado nuevos ejercicios de 1º Álgebra Lineal I: Ejs relaciones

Espacios-vectoriales.pdf
Aplicaciones-lineales.pdf
Endomorfismos-2.pdf
Endomorfismos-1.pdf
Anónimo

@Anónimo

ejercicios

-

Ejercicios

He publicado nuevos ejercicios de 1º Álgebra Lineal I: Ejercicios

probl1.pdf
IMG201907160002.pdf
IMG201907160006.pdf
IMG201907160001.pdf
IMG201907160007.pdf
IMG201907160008.pdf
Anónimo

@Anónimo

examenes

-

Examenes resueltos

He publicado nuevos examenes de 1º Álgebra Lineal I: Examenes resueltos

ilovepdfmerged-1.pdf
ilovepdfmerged-1.pdf
ilovepdfmerged.pdf
Anónimo

@Anónimo

examenes

-

Examenes de todos los años

He publicado nuevos examenes de 1º Álgebra Lineal I: Examenes de todos los años

Apuntes-Navarro.pdf
Anónimo

@Anónimo

apuntes

-

Apuntes

He publicado nuevos apuntes de 1º Álgebra Lineal I: Apuntes

Apuntes-Navarro.pdf
¡Estás al día!

¡Estás al día!

Has visto todos los archivos