Álgebra Lineal y Geometría I
He publicado nuevos examenes de 1º Álgebra Lineal y Geometría I: Examen-parcial-diciembre-Algebra-Lineal-y-Geometria-1.pdf
He publicado nuevos apuntes de 1º Álgebra Lineal y Geometría I: Definiciones.-Tema-2.-Aplicaciones-Lineales.pdf
He publicado nuevos apuntes de 1º Álgebra Lineal y Geometría I: Demostraciones.-Tema-2.-Aplicaciones-Lineales.pdf
ejercicios
-
Ejercicios resueltos tema 2
He publicado nuevos ejercicios de 1º Álgebra Lineal y Geometría I: Ejercicios resueltos tema 2
He publicado nuevos apuntes de 1º Álgebra Lineal y Geometría I: Tema-2.-Aplicaciones-Lineales.pdf
Solo teoría (Definiciones, teoremas, corolarios y proposiciones) sin demostraciones
Solo teoría (Definiciones, teoremas, corolarios y proposiciones) sin demostraciones
Solo teoría (Definiciones, teoremas, corolarios y proposiciones) sin demostraciones
He publicado nuevos examenes de 1º Álgebra Lineal y Geometría I: Parcial-tema-1-2526.pdf
He publicado nuevos examenes de 1º Álgebra Lineal y Geometría I: control1-algebra2025.pdf
He publicado nuevos examenes de 1º Álgebra Lineal y Geometría I: ExamenAlgebraenero.pdf
He publicado nuevos examenes de 1º Álgebra Lineal y Geometría I: ParcialAlgebraLineal1.pdf
He publicado nuevos apuntes de 1º Álgebra Lineal y Geometría I: PRACTICA-4.pdf
He publicado nuevos apuntes de 1º Álgebra Lineal y Geometría I: DemostracionesTEMA1.pdf
He publicado nuevos ejercicios de 1º Álgebra Lineal y Geometría I: EJERCICIOS-RESUELTOS-TEMA-7.pdf
He publicado nuevos ejercicios de 1º Álgebra Lineal y Geometría I: EJERCICIOS-RESUELTOS-TEMA-6.pdf
He publicado nuevos apuntes de 1º Álgebra Lineal y Geometría I: APUNTES-TEMA-7.pdf
He publicado nuevos apuntes de 1º Álgebra Lineal y Geometría I: APUNTES-TEMA-6.pdf
ejercicios
-
EJERCICIOS RESUELTOS TEMA 1-5
He publicado nuevos ejercicios de 1º Álgebra Lineal y Geometría I: EJERCICIOS RESUELTOS TEMA 1-5
apuntes
-
APUNTES TEMAS 1-5
He publicado nuevos apuntes de 1º Álgebra Lineal y Geometría I: APUNTES TEMAS 1-5
He publicado nuevos apuntes de 1º Álgebra Lineal y Geometría I: TabladeEjemplosdeEspaciosVectoriales.pdf
ejercicios
-
Ejercicios resueltos tema 1
ejercicios resueltos del tema 1
He publicado nuevos apuntes de 1º Álgebra Lineal y Geometría I: ALGEBRA-tema-2.pdf
He publicado nuevos apuntes de 1º Álgebra Lineal y Geometría I: ALGEBRA-tema-1.pdf
apuntes
-
Álgebra Lineal Y Geometría I
Apuntes y ejercicios
He publicado nuevos apuntes de 1º Álgebra Lineal y Geometría I: Tema-1-Algebra-Lineal-y-Geometria-1.pdf
He publicado nuevos apuntes de 1º Álgebra Lineal y Geometría I: Primera-clase-de-practicas.pdf
He publicado nuevos apuntes de 1º Álgebra Lineal y Geometría I: Segunda-clase-de-practicas.pdf
He publicado nuevos apuntes de 1º Álgebra Lineal y Geometría I: 0.-kapitulua-Algebra.pdf
He publicado nuevos apuntes de 1º Álgebra Lineal y Geometría I: Apuntes-tema.1.pdf
Tema 1: Sistemas lineales, matrices y determinates
apuntes
-
Algebra Lineal y Geometría I
Apuntes Completos, Relaciones de ejercicios resueltas, esquemas esenciales de la asignatura y parciales resueltos.
INICIO DE CURSO ÁLGEBRA LINEAL Y GEOMETRÍA I ACADEMIA UNIVERSITARIA FORMACIÓN MANUEL POZO Clases modalidad online y presencial. Todas tus CLASES GRABADAS PARA QUE PUEDAS VISUALIZARLAS HASTA EL DÍA DEL EXAMEN Resolución de todos tus ejercicios y exámenes de convocatorias anteriores. Profesores especialidados y temario propio. Acceso a PLATAFORMA VIRTUAL CON CONTENIDO EXCLUSIVO ¡Solicita tu clase de prueba en grupo sin compromiso!

He publicado nuevos apuntes de 1º Álgebra Lineal y Geometría I: ALG-I-teoria-T.5.pdf
He publicado nuevos apuntes de 1º Álgebra Lineal y Geometría I: ALG-I-teoria-T.4.pdf
He publicado nuevos apuntes de 1º Álgebra Lineal y Geometría I: ALG-I-teoria-T.2.pdf
He publicado nuevos apuntes de 1º Álgebra Lineal y Geometría I: ALG-I-teoria-T.1.pdf
He publicado nuevos apuntes de 1º Álgebra Lineal y Geometría I: ALG-I-teoria-repaso-global.pdf
He publicado nuevos examenes de 1º Álgebra Lineal y Geometría I: ALG-I-Examen-autoevaluacion-202425.pdf
He publicado nuevos examenes de 1º Álgebra Lineal y Geometría I: ALG-I-Examen-2-202425.pdf
He publicado nuevos examenes de 1º Álgebra Lineal y Geometría I: ALG-I-Examen-1-202425.pdf
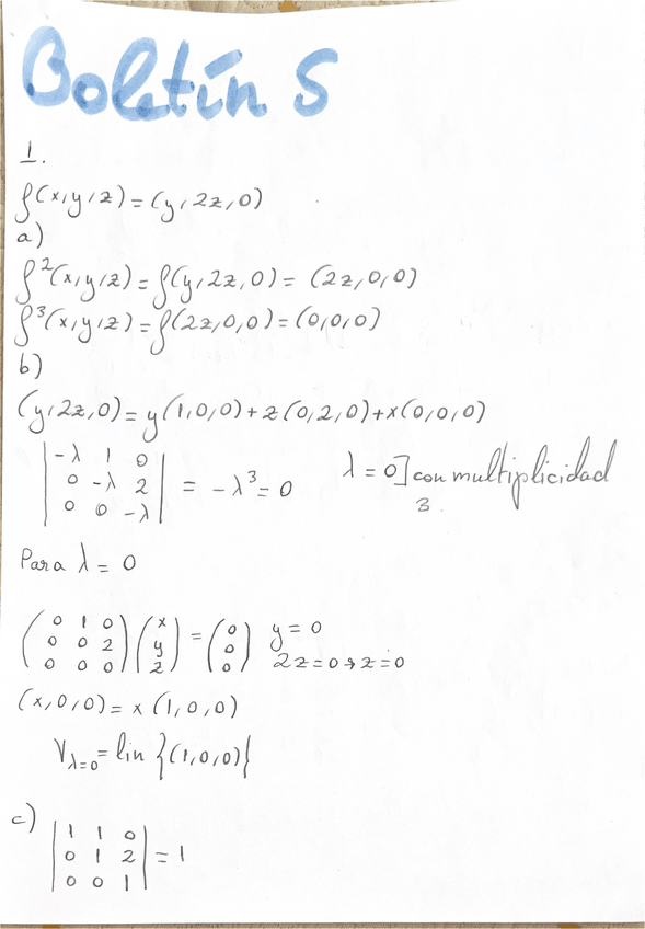
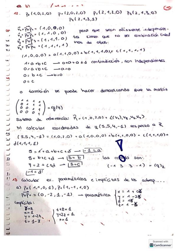
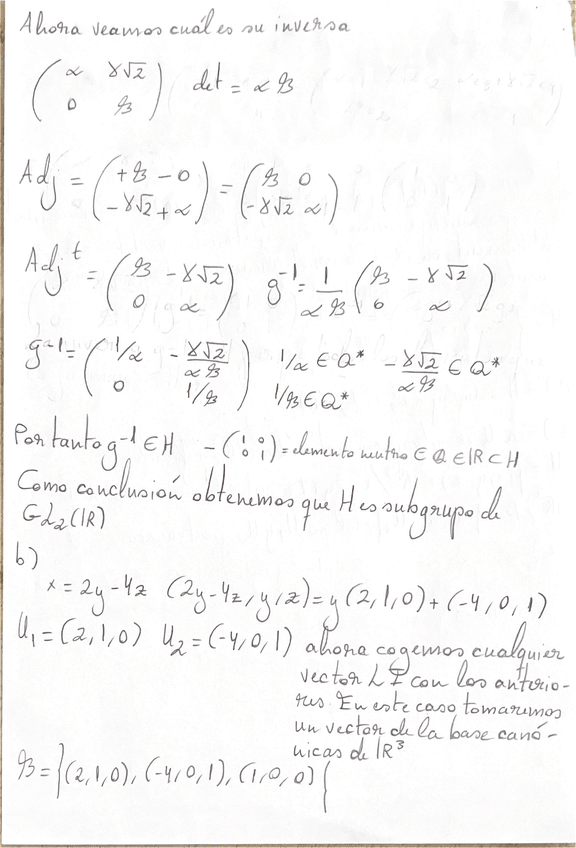
He publicado nuevos ejercicios de 1º Álgebra Lineal y Geometría I: ALG-I-boletin-5.pdf
He publicado nuevos ejercicios de 1º Álgebra Lineal y Geometría I: ALG-I-boletin-4.pdf