invisiblestring
Álgebra I (apuntes y ejercicios)
Tema2AplicacionesLineales.pdf
14 páginas
Tema3Diagonalizacion.pdf
11 páginas
Tema1EspaciosVectoriales.pdf
13 páginas
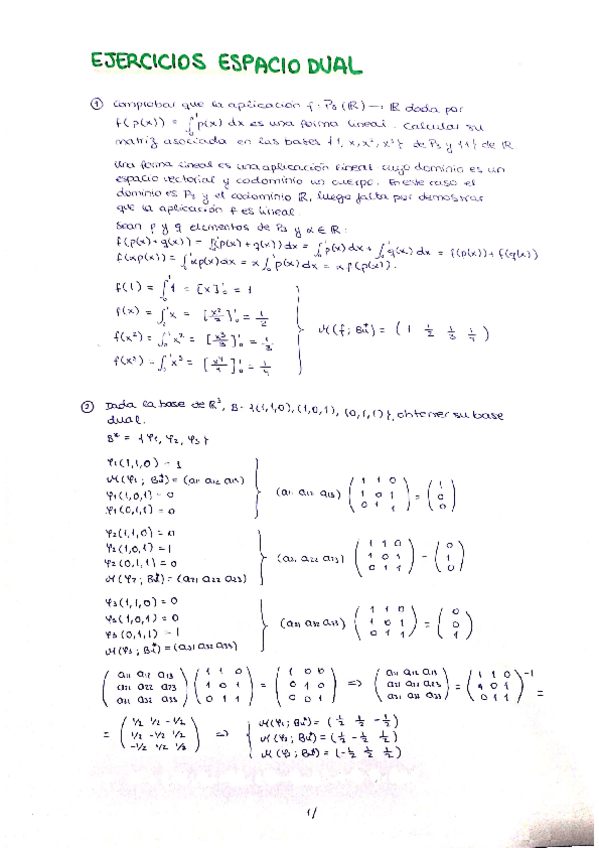
Tema4EspacioDual.pdf
5 páginas
Ejerciciostema1.pdf
Ejerciciostema2.pdf
25 páginas
Ejerciciostema3.pdf
Ejerciciostema4.pdf
17 páginas
Ejercicios - Relación 2 - Aplicaciones lineales (explicados).pdf
pdf
73 páginas
280
7
Ejercicios - Relación 1 - Espacios vectoriales (explicados).pdf
44 páginas
282
8
Apuntes - Tema2AplicacionesLineales.pdf
28
3
Ejercicios - Relacion-2.pdf
38 páginas
492
0
Apuntes - Tema1EspaciosVectoriales.pdf
225
4
Ejercicios - Relacion-1.pdf
28 páginas
525
2
Ejercicios - Relación 3 - Diagonalización (explicados).pdf
24 páginas
200
Apuntes - Tema3Diagonalizacion.pdf
164
1
Exámenes - ex-resuelto-extraord-2020.pdf
271
Apuntes - Temario Álgebra lineal y geometría.pdf
171 páginas
144
Exámenes - Ordinario-y-extraordinario-resueltos-2024.pdf
150
6
Apuntes - Tema4EspacioDual.pdf
141
Exámenes - Ordinaria-Algebra.pdf
295
Exámenes - 16_SegundoP (corregido).pdf
153
Exámenes - ExamenesParciales2021-22RESUELTOS.pdf
0 páginas
294
Exámenes - Ordinaria-2025-RESUELTO.pdf
4 páginas
440
Ejercicios - Ejercicios Tema 2 (2020-2021).pdf
19 páginas
276
Exámenes - Examen-ordinario-2023.pdf
Ejercicios - Relacion-3.pdf
9 páginas
177
Ejercicios - Relaciones-de-ejercicios-resueltas.pdf
55 páginas
100
5