Álgebra Lineal y Geometría I

Todo
Apuntes
Ejercicios
Exámenes
Prácticas
Trabajos
chevron_left
chevron_right

examenes

-

EXÁMENES ALG I

He publicado nuevos examenes de 1º Álgebra Lineal y Geometría I: EXÁMENES ALG I

Examen-ALG-I-enero-2025-resuelto.pdf
Examen-ALG-I-mayo-2025-resuelto.pdf
Examen-ALG-1-1-junio-2021.pdf
Examen-ALG-1-23-junio-2021.pdf
Examen-ALG-1-enero-2023.pdf
Examen-ALG-1-FM-enero-2024.pdf
Anónimo

@Anónimo

Tot l'examen d'àlgebra I de l'any 2024. 10 exercicis amb solucions.

8 páginas

Exercicis resolts del recull de qüestions d'Àlgebra lineal de primer de matemàtiques. Temes 2, 3 (Espais vectorials, aplicacions lineals)

9 páginas

Este és el segon control (amb la correcció) dels temes 3, 4, 5 (Aplicacions lineals, Rang i equivalència de matrius, Determinants) d'àlgebra lineal i geometria de 1er de matemàtiques en valencià dl curs 2025-2026.

5 páginas

Solo teoría (Definiciones, teoremas, corolarios y proposiciones) sin demostraciones

5 páginas

Solo teoría (Definiciones, teoremas, corolarios y proposiciones) sin demostraciones

6 páginas

Solo teoría (Definiciones, teoremas, corolarios y proposiciones) sin demostraciones

2 páginas
Anónimo

@Anónimo

He publicado nuevos examenes de 1º Álgebra Lineal y Geometría I: control1-algebra2025.pdf

1 página

He publicado nuevos examenes de 1º Álgebra Lineal y Geometría I: ExamenAlgebraenero.pdf

2 páginas
Anónimo

@Anónimo

He publicado nuevos apuntes de 1º Álgebra Lineal y Geometría I: PRACTICA5.pdf

8 páginas
Anónimo

@Anónimo

He publicado nuevos apuntes de 1º Álgebra Lineal y Geometría I: PRACTICA-4.pdf

8 páginas
Anónimo

@Anónimo

He publicado nuevos apuntes de 1º Álgebra Lineal y Geometría I: ALGEBRA-tema-2.pdf

21 páginas
Anónimo

@Anónimo

He publicado nuevos apuntes de 1º Álgebra Lineal y Geometría I: ALGEBRA-tema-1.pdf

15 páginas

He publicado nuevos apuntes de 1º Álgebra Lineal y Geometría I: Segunda-clase-de-practicas.pdf

8 páginas

He publicado nuevos apuntes de 1º Álgebra Lineal y Geometría I: Primera-clase-de-practicas.pdf

6 páginas

He publicado nuevos apuntes de 1º Álgebra Lineal y Geometría I: Apuntes-tema.1.pdf

4 páginas

apuntes

-

TODAS PRACTICAS ALG I

Todas las prácticas de ALG I de 2024 - 2025 en español (no resueltas) P1 - Matrices y sistemas de ecuaciones lineales P2 - Espacios vectoriales P3 - Aplicaciones lineales P4 - Valores y vectores propios. Diagonalización P5 - No hay P6 - Formas bilineales

TODAS-PRACTICAS-ALG-I.pdf
P1-Matrices-y-sistemas-de-ecuaciones-lineales.pdf
P2-Espacios-vectoriales.pdf
P3-Aplicaciones-lineales.pdf
P4-Valores-y-vectores-propios.-Diagonalizacion.pdf
P6-Formas-bilineales.pdf

apuntes

-

Resumen Formas bilineales, cuadráticas, y espacios eucídeosmoved

He publicado nuevos apuntes de 1º Álgebra Lineal y Geometría I: Resumen Formas bilineales, cuadráticas, y espacios eucídeosmoved

Resumen.pdf

examenes

-

Exámenes de formas bilineales y espacios euclídeos

He publicado nuevos examenes de 1º Álgebra Lineal y Geometría I: Exámenes de formas bilineales y espacios euclídeos

Ejercicios-examen-de-formas-bilineales-y-espacios-euclideos.pdf

ejercicios

-

Formas bilineales, cuadráticas, espacios euclídeos, ortogonalidad.

He publicado nuevos ejercicios de 1º Álgebra Lineal y Geometría I: Formas bilineales, cuadráticas, espacios euclídeos, ortogonalidad.

Tema-1-Formas-bilineales.pdf
Tema-2-Formas-cuadraticas.pdf
Tema-3-Diagonalizacion-de-formas-cuadraticas.pdf
Tema-4-Formas-cuadraticas-reales.pdf
Tema-5-Espacios-euclideos.pdf
Tema-6-Complemento-y-proyeccion-ortogonal.pdf

ejercicios

-

Espacios vectoriales, aplicaciones lineales y matrices, espacio dual

He publicado nuevos ejercicios de 1º Álgebra Lineal y Geometría I: Espacios vectoriales, aplicaciones lineales y matrices, espacio dual

Tema-1-Espacios-vectoriales-asociados-a-una-matriz.pdf
Tema-2-Operaciones-con-subespacios-vectoriales.pdf
Tema-3-Aplicaciones-lineales.pdf
Tema-4-Imagen-nucleo-To-de-isomorfia.pdf
Tema-5-Aplicaciones-lineales-y-matrices.pdf
Tema-6-Espacio-dual.pdf

He publicado nuevos examenes de 1º Álgebra Lineal y Geometría I: Examen-Mayo-2025.pdf

3 páginas

apuntes

-

APUNTES ÁLGEBRA LINEAL Y GEOMETRÍA I UV

Joan Tent, castellano

ALGEBRA.-Teoria-tema-1.pdf
ALGEBRA.-Teoria-tema-2.pdf
ALGEBRA.-Teoria-tema-3.pdf
ALGEBRA.-Teoria-tema-4.pdf
ALGEBRA.-Teoria-tema-5.pdf
ALGEBRA.-Teoria-tema-6.pdf

Tema: Producte escalar / Professor: Raul Ruiz / Grup: Valencià

15 páginas

He publicado nuevos apuntes de 1º Álgebra Lineal y Geometría I: Tema-9.pdf

1 página

He publicado nuevos apuntes de 1º Álgebra Lineal y Geometría I: Tema-8-Algebra-1.pdf

4 páginas

Tema: Afinitats / Professor: Enric Cosme / Grup: Valencià

7 páginas

Tema: Espais afins / Professor: Enric Cosme / Grup: Valencià

10 páginas

Tema: Afinitats / Professor: Enric Cosme / Grup: Valencià

8 páginas

He publicado nuevos apuntes de 1º Álgebra Lineal y Geometría I: Tema-7-Alg-I.pdf

4 páginas

Tema: Formes bilineals / Professor: Enric Cosme / Grup: Valencià

15 páginas

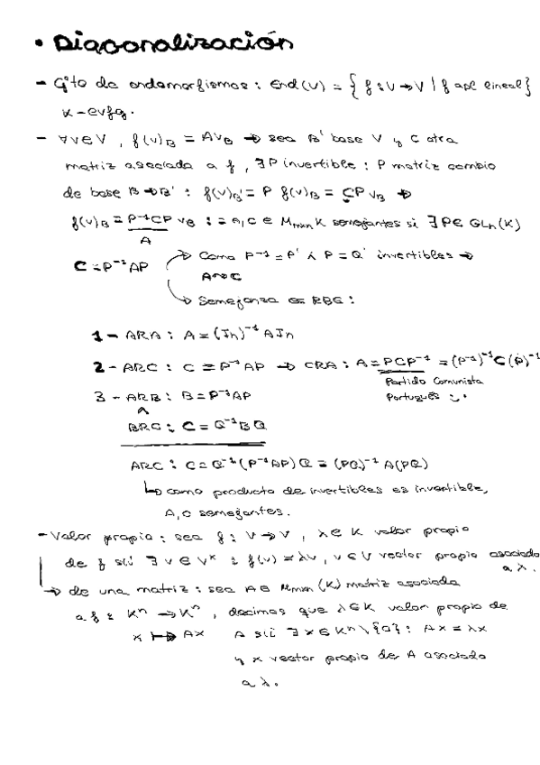
Tema: Diagonalització / Professor: Enric Cosme / Grup: Valencià

11 páginas

Tema: Determinants / Professor: Enric Cosme / Grup: Valencià

10 páginas

Tema: Rang i equivalència de matrius /Professor: Enric Cosme / Grup: Valencià

12 páginas

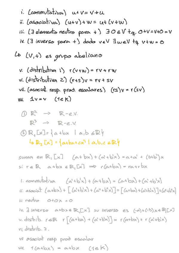
Tema: Espais Vectorials / Grup: Valencià / Professor: Enric Cosme

19 páginas

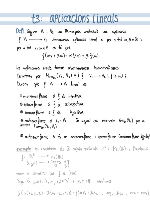
Tema: Aplicacions lineals /Professor: Enric Cosme / Grup: Valencià

18 páginas

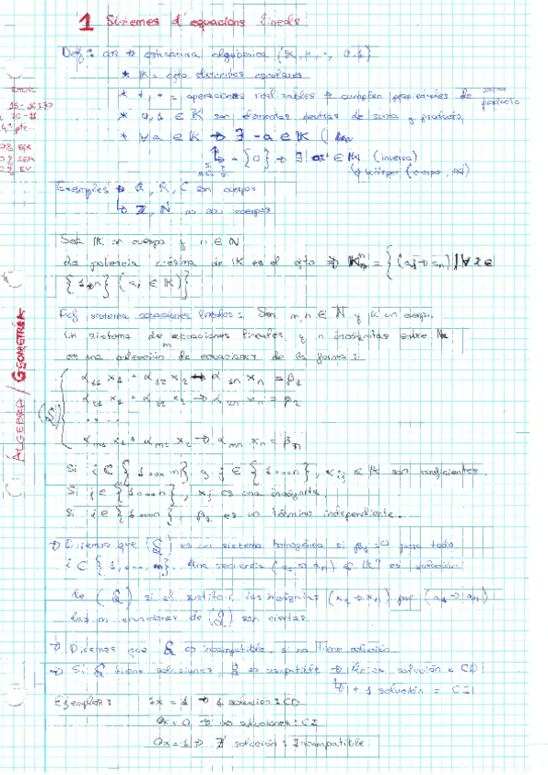
Tema: Sistemes d'equacions lineals / Grup: Valencià / Professor: Enric Cosme

10 páginas

He publicado nuevos apuntes de 1º Álgebra Lineal y Geometría I: Tema-6-Algebra.pdf

5 páginas

apuntes

-

Temario tablet por temas

sólo 2o cuatri

Temas-7-9-Alg-T.pdf
Temas-5-6-Alg-T.pdf

apuntes

-

Apuntes Álgebra 1

puto álgebra

Temas-1-y-2-1819.pdf
Temas-1-y-2-19201.pdf
Temas-1-y-2-A-17.pdf
Temas-1-y-2-A-15.pdf
teoremalg.pdf
algebra.pdf

apuntes

-

Temario cuaderno por temas

He publicado nuevos apuntes de 1º Álgebra Lineal y Geometría I: Temario cuaderno por temas

Tema-4-Alg-A.pdf
Temas-2.6-3-Alg-A.pdf
Temas-1-2.6-Alg-A.pdf
Tema-9--examen-Alg-A.pdf
Temas-7-8-Alg-A.pdf
Temas-5-6-Alg-A.pdf

He publicado nuevos apuntes de 1º Álgebra Lineal y Geometría I: Tema-5-Algebra-I.pdf

4 páginas

He publicado nuevos practicas de 1º Álgebra Lineal y Geometría I: Practiques-Algebra-I-2n-quatri.pdf

59 páginas

He publicado nuevos apuntes de 1º Álgebra Lineal y Geometría I: Algebra-I-segon-quatri.pdf

53 páginas

He publicado nuevos apuntes de 1º Álgebra Lineal y Geometría I: Tema-4-Algebra-I.pdf

3 páginas

He publicado nuevos apuntes de 1º Álgebra Lineal y Geometría I: ALG-I-T3-Aplicaciones-Lineales.pdf

15 páginas

He publicado nuevos apuntes de 1º Álgebra Lineal y Geometría I: Tema-3-Algebra.pdf

4 páginas

He publicado nuevos examenes de 1º Álgebra Lineal y Geometría I: CONTROL-T2-CORREGIT.pdf

5 páginas

He publicado nuevos examenes de 1º Álgebra Lineal y Geometría I: EXAMEN-GENER-24-AMB-SOLUCIONS.pdf

10 páginas

He publicado nuevos apuntes de 1º Álgebra Lineal y Geometría I: 2024-Enero.pdf

2 páginas

He publicado nuevos apuntes de 1º Álgebra Lineal y Geometría I: TEMA-4-Rang-i-equivalencia-de-matrius.pdf

18 páginas

He publicado nuevos apuntes de 1º Álgebra Lineal y Geometría I: TEMA-3-Aplicacions-lineals.pdf

35 páginas

He publicado nuevos apuntes de 1º Álgebra Lineal y Geometría I: tema-2-algebra-i.pdf

6 páginas

He publicado nuevos apuntes de 1º Álgebra Lineal y Geometría I: TEMA-2-ESPAIS-VECTORIALS.pdf

36 páginas

He publicado nuevos apuntes de 1º Álgebra Lineal y Geometría I: TEMA-1-SISTEMES-DEQUACIONS-LINEALS.pdf

20 páginas

He publicado nuevos apuntes de 1º Álgebra Lineal y Geometría I: Tema-1-Algebra-I-Teoria.pdf

5 páginas

He publicado nuevos examenes de 1º Álgebra Lineal y Geometría I: CONTROL-ALGEBRA-LINEAL-T-1-corregit-nota-10.pdf

5 páginas

apuntes

-

Teoría 2n cuatri

No está toda la teoría del 2° cuatri, pero el principio del cuatrimestre sí

Algebra-t8-creo.pdf
Algebra-t6.pdf
Algebra-t7.pdf

apuntes

-

Teoría 1er cuatri

He publicado nuevos apuntes de 1º Álgebra Lineal y Geometría I: Teoría 1er cuatri

Algebra-t1.pdf
Algebra-t2.pdf
Algebra-t3.pdf
Algebra-t4.pdf
Algebra-t5.pdf

He publicado nuevos apuntes de 1º Álgebra Lineal y Geometría I: ALG-I-T2-Espacios-Vectoriales.pdf

22 páginas