manusc2000
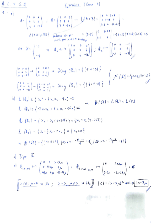
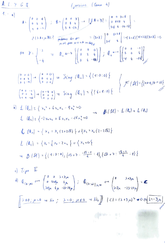
ALYG-II-T4-EJERCICIOS.pdf
20 páginas
Exámenes - sol-prueba-escrita-alygII-GruposA(1).pdf
pdf
10 páginas
238
1
Exámenes - Sol-prueba-II-alygII-G-C-11-ene-2017.pdf
13 páginas
177
Ejercicios - ejercicio t2.pdf
15 páginas
111
0
Exámenes - sol-prueba-escrita-alygII-GruposB.pdf
7 páginas
162
Exámenes - sol-prueba-escrita-alygII-GruposC.pdf
8 páginas
147
Ejercicios - Ejercicios t1.pdf
100
Exámenes - Sol-II-prueba-escrita.pdf
5 páginas
96
Exámenes - examen resuelto 2-11-16.pdf
101
Exámenes - Examenes2Parcial.pdf
30 páginas
126
Exámenes - examen resuelto 4-11-16.pdf
103
Exámenes - EXAMENES-RESUELTOS.pdf
51 páginas
121
2
Ejercicios - RESUELTO-TEMA-1-LINEAL-II.pdf
37 páginas
131
Exámenes - 1-Parcial-B-12-11-2018.pdf
127
Ejercicios - Ejercicios-T3-4-y-5-ALG-II.pdf
19 páginas
Ejercicios - RESUELTOS-Ejercicios-Tema-4.pdf
27 páginas
98
Ejercicios - RESUELTOS-Ejercicios-Tema-3.pdf
105
Exámenes - RESUELTO-Examen-Tercera-conv-2parte-2019.pdf
139
Exámenes - RESUELTO-1parte-examen-modelo-M1-sept-2019.pdf
9 páginas
133
Exámenes - Examenes-ALG2-1oparcial.pdf
95 páginas
95
Ejercicios - ALYG-II-T4-EJERCICIOS.pdf
134