Ejercicios-T2.pdf

Maaiitee

Todo Álgebra

13 archivos·

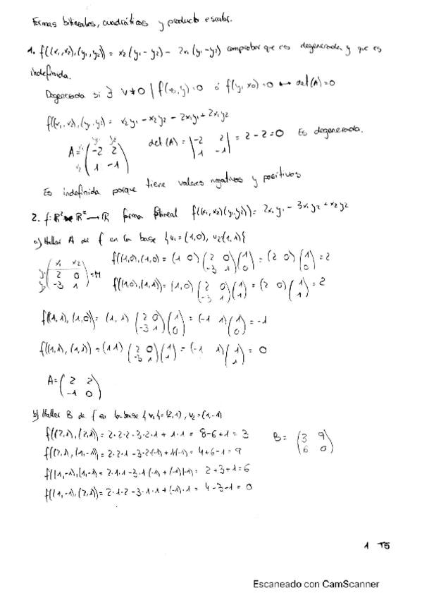
T5-FormasBilineales.pdf

3 páginas

T3-EspaVectoriales.pdf

2 páginas

Ejercicios-T6.pdf

2 páginas

Ejercicios-T3.pdf

18 páginas

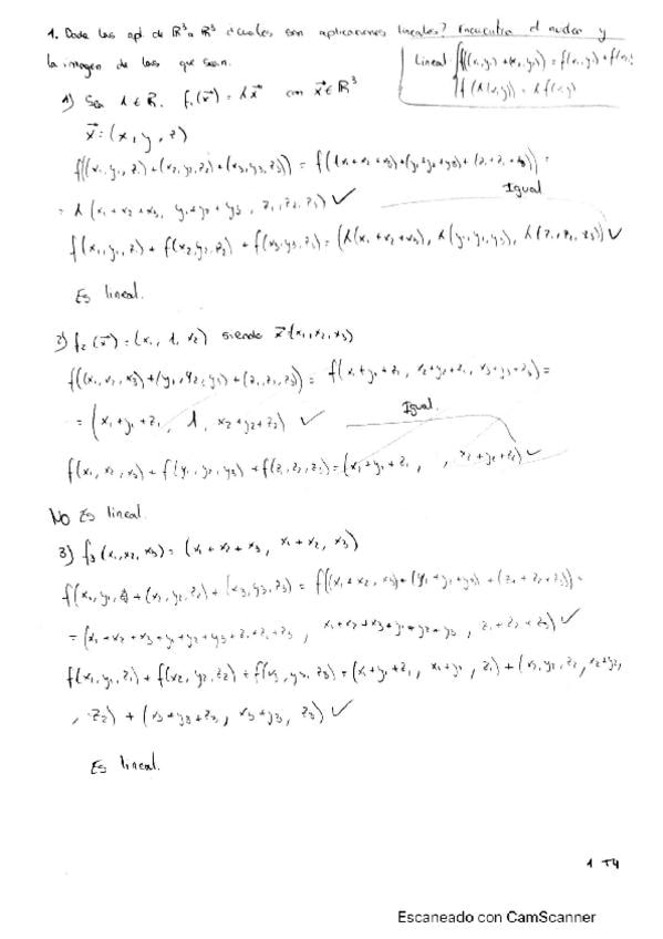
Ejercicios-T4.pdf

10 páginas

Ejercicios-T5.pdf

9 páginas

Ejercicios-T2.pdf

11 páginas

T2-EstrucAlgebraicas.pdf

2 páginas

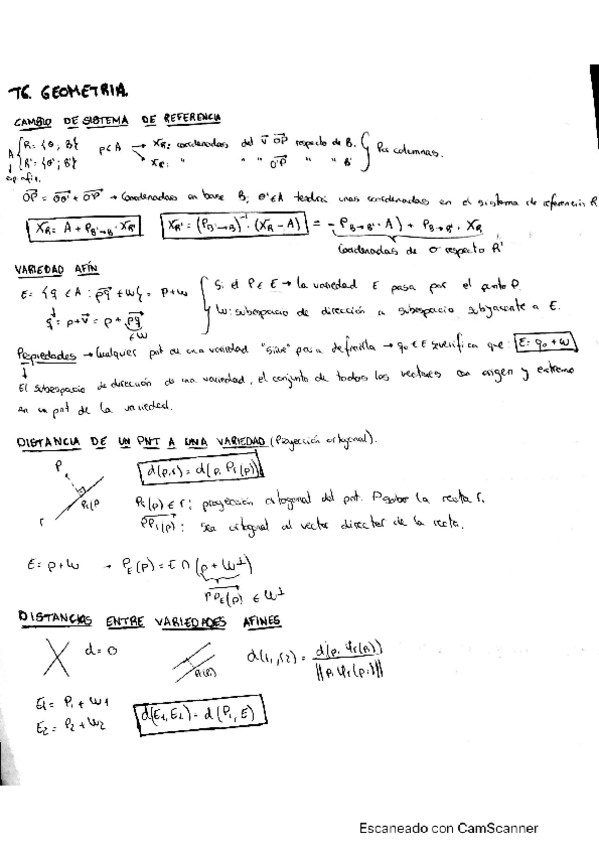
T6-Geometria.pdf

2 páginas

T4-ApliLinelaes.pdf

2 páginas

T7-Recuento.pdf

4 páginas

febreroresuelto-2020.pdf

5 páginas

septiembreresuelto-2020.pdf

4 páginas

content_copy

Archivos recomendados