Portada
Asignatura
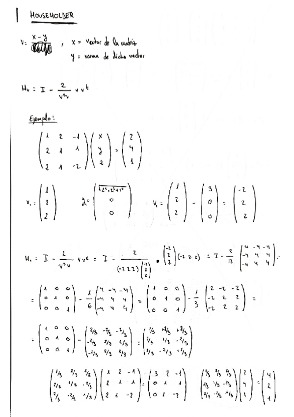
Grado en Ingeniería Informática - Ingeniería de Computadores (US)
Álgebra Lineal y Numérica
Fecha de subida
11 dic 2018
Categoría
apuntes
Etiquetas
Ejercicios - Boletines de ejercicios resueltos (4).pdf
pdf
291 páginas
107
0
Exámenes - examenes resueltos aln 2011.pdf
25 páginas
136
1
Apuntes - TEMAS.pdf
66 páginas
84
Apuntes - Apuntes de Clase 2016.pdf
87 páginas
56
Apuntes - ALN2011.pdf
126 páginas
93
Exámenes - examen_ALN_Mayo_17_resuelto.pdf
10 páginas
82
Apuntes - Contenido-ALN-1o-Parcial.pdf
19 páginas
75
Apuntes - ALN-Temario-Completo.pdf
16 páginas
101
Apuntes - Toda la Teoría ALN.pdf
97 páginas
85
Exámenes - ExamenResueltoSeptiembre-2019-20-1.pdf
13 páginas
216
Exámenes - ALN-Sept17.pdf
6 páginas
97
Ejercicios - Boletín 3.1_Resuelto.pdf
9 páginas
47
Apuntes - Álgebra TODOS LOS MÉTODOS DE RESOLUCIÓN ALN Explicados con Ejemplos.pdf
12 páginas
43
Ejercicios - Boletín 2.1_Resuelto.pdf
15 páginas
64
Exámenes - 1P_ALN_Soft_2014 .pdf
1 página
70
Prácticas - ALN-PRACTICA4.pdf
46 páginas
41
Prácticas - ALN-PRACTICA6--RESUELTA .rar
rar
4
Exámenes - 1PALN_Comp_G1_G2_2013.pdf
72
Prácticas - download_worksheets (3).zip
zip
2
Apuntes - Relación 6-Householder para sist superdeterminados-recta regresión-parábola regresión.pdf
31