@manuel_perea

9 Publicaciones

422 Interacciones

0 Seguidores

2 Siguiendo

Lista de publicaciones de manuel_perea

He publicado nuevos ejercicios de 2º Arquitectura de Computadores: Tema-1-Ejercicio-de-examen.pdf

1 página

He publicado nuevos practicas de 1º Introducción a la Matemática Discreta: Practicas.zip

zip

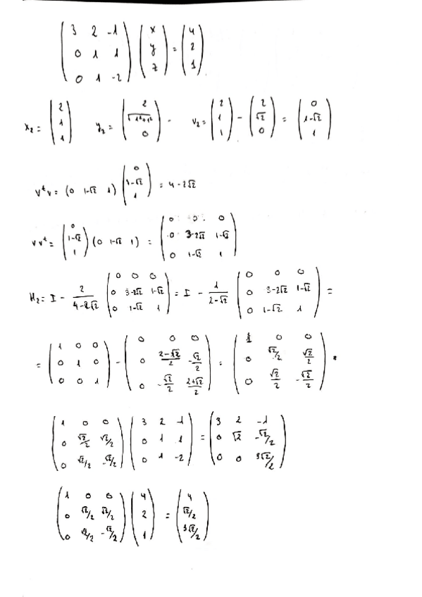
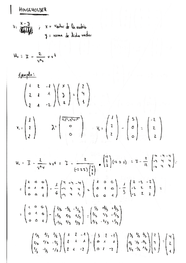
He publicado nuevos apuntes de 1º Álgebra Lineal y Numérica: 0_Householder.pdf

3 páginas

He publicado nuevos apuntes de 1º Administración de Empresas: Ejercicio RESUELTO Oferta-Demanda.pdf

4 páginas

He publicado nuevos ejercicios de 1º Introducción a la Matemática Discreta: Boletin.pdf

34 páginas

He publicado nuevos ejercicios de 1º Administración de Empresas: repaso-problemas-P2-mayo2018.pdf

16 páginas

apuntes

-

Apuntes CIN

He publicado nuevos apuntes de 1º Cálculo Infinitesimal y Numérico: Apuntes CIN

Tema 5 - Series de Fourier.pdf
Tema 4 - Series de potencias.pdf
Tema 6 - Funciones de varias variables.pdf