Portada
Asignatura
Grado en Ingeniería de Sistemas de Telecomunicación (UPM)
Álgebra Lineal
Fecha de subida
17 dic 2022
Categoría
apuntes
Etiquetas
Apuntes - Hoja-10.pdf
pdf
4 páginas
107
2
Apuntes - 1_ALGE_montero.pdf
263 páginas
90
1
Prácticas - Practica 1 Algebra Octave
2 páginas
102
Apuntes - Hoja-9.pdf
6 páginas
0
Apuntes - Hoja-11.pdf
8 páginas
93
Apuntes - Hoja-8.pdf
88
Apuntes - Hoja-5-Ejc-resueltos-con-pasos.pdf
109
Prácticas - practica2.pdf
Apuntes - Hoja-4-V2.pdf
5 páginas
80
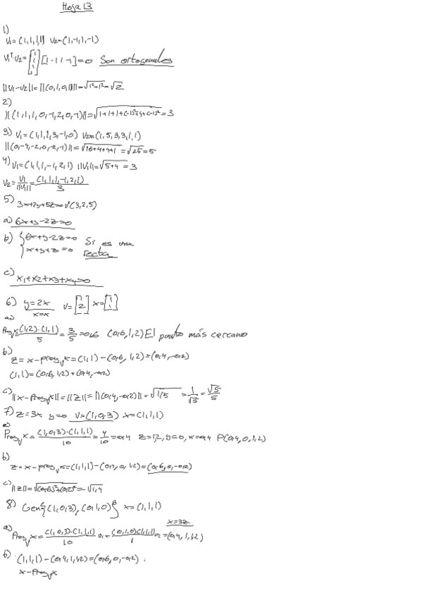
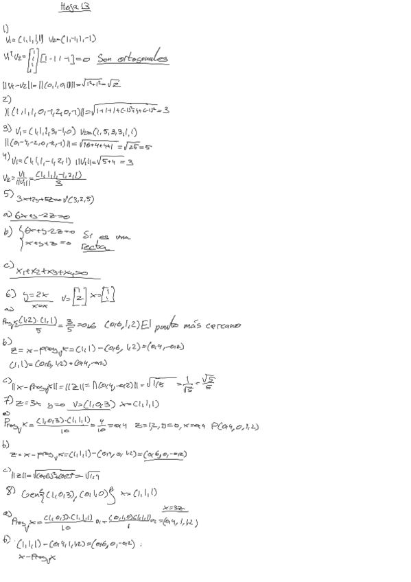
Apuntes - Hoja-13-1.pdf
3 páginas
79
Apuntes - Hoja-2-V2.pdf
70
Apuntes - Hoja-14-1.pdf
84
Apuntes - Hoja-12-v2.pdf
Apuntes - Hoja-15-1.pdf
71
Apuntes - Hoja-1-v2.pdf
65
Apuntes - Hoja-6-Ejc-resueltos-con-pasos.pdf
58
Apuntes - Teoria-del-primer-parcial.pdf
31 páginas
47
Apuntes - Resumen-Algebra.pdf
52
Apuntes - Apuntes-Lab-Algebra.pdf
43
Apuntes - Hoja-16-1.pdf
57