Todo
Apuntes
Ejercicios
Exámenes
Otros
chevron_left
chevron_right
Anónimo

@Anónimo

He publicado nuevos apuntes de 1º Álgebra Lineal: REPASO-PARCIAL-2-Y-3.pdf

22 páginas
Anónimo

@Anónimo

He publicado nuevos apuntes de 1º Álgebra Lineal: REPASO-PARCIAL-1-Y-LIBRETA.pdf

24 páginas

He publicado nuevos apuntes de 1º Álgebra Lineal: Control-2-OPCION-B-curso-23-24.pdf

2 páginas

He publicado nuevos apuntes de 1º Álgebra Lineal: cronograma.pdf

1 página

He publicado nuevos apuntes de 1º Álgebra Lineal: Control-2-OPCION-B-curso-23-24-solucion.pdf

2 páginas

He publicado nuevos apuntes de 1º Álgebra Lineal: Control-2-OPCION-A-curso-23-24.pdf

2 páginas

He publicado nuevos apuntes de 1º Álgebra Lineal: Control-2-OPCION-A-curso-23-24-solucion.pdf

3 páginas
Anónimo

@Anónimo

He publicado nuevos apuntes de 1º Álgebra Lineal: REPASO-EXAMEN-FINAL-Y-PARCIALES.pdf

24 páginas

apuntes

-

APUNTES Y HOJAS DE EJERCICIOS

He publicado nuevos apuntes de 1º Álgebra Lineal: APUNTES Y HOJAS DE EJERCICIOS

1-Teoria-Algebra-Lineal-21-22.pdf
1-Teoria-Algebra-Lineal-21-22.pdf
1-Teoria-Algebra-Lineal-21-22.pdf
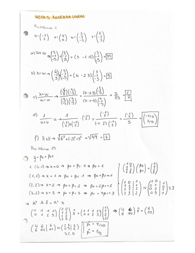
Hoja5-Algebra-Lineal-21-22.pdf
Hoja5-Algebra-Lineal-21-22.pdf
Hoja5-Algebra-Lineal-21-22.pdf

He publicado nuevos ejercicios de 1º Álgebra Lineal: HOJA-5.-ALGEBRA-LINEAL.pdf

7 páginas

He publicado nuevos ejercicios de 1º Álgebra Lineal: HOJA-4.-ALGEBRA-LINEAL.pdf

8 páginas

He publicado nuevos ejercicios de 1º Álgebra Lineal: HOJA-3.-ALGEBRA-LINEAL.pdf

17 páginas

He publicado nuevos ejercicios de 1º Álgebra Lineal: HOJA-2.-ALGEBRA-LINEAL.pdf

7 páginas

He publicado nuevos ejercicios de 1º Álgebra Lineal: HOJA-1.-ALGEBRA-LINEAL.pdf

8 páginas

He publicado nuevos examenes de 1º Álgebra Lineal: Examenes-resueltos-II.-ALGEBRA-LINEAL.pdf

11 páginas

He publicado nuevos examenes de 1º Álgebra Lineal: Examenes-resueltos-I.-ALGEBRA-LINEAL.pdf

24 páginas

He publicado nuevos examenes de 1º Álgebra Lineal: Examen-final-21-22.pdf

7 páginas

He publicado nuevos examenes de 1º Álgebra Lineal: Control-1-G27-21-22.pdf

4 páginas

He publicado nuevos ejercicios de 1º Álgebra Lineal: Hoja4-Algebra-Lineal-21-22.pdf

2 páginas

He publicado nuevos ejercicios de 1º Álgebra Lineal: Hoja3-Algebra-Lineal-21-22.pdf

4 páginas

He publicado nuevos examenes de 1º Álgebra Lineal: Control-2y3-G27-21-22.pdf

2 páginas

He publicado nuevos examenes de 1º Álgebra Lineal: Control-2-20-21.pdf

1 página

He publicado nuevos apuntes de 1º Álgebra Lineal: 3-Teoria-Algebra-Lineal-21-22.pdf

84 páginas

He publicado nuevos apuntes de 1º Álgebra Lineal: 4-Teoria-Algebra-Lineal-21-22.pdf

35 páginas

He publicado nuevos apuntes de 1º Álgebra Lineal: ALGEBRA-LINEAL.-TEMA-5.-ORTOGONALIDAD-Y-MINIMOS-CUADRADOS.pdf

8 páginas

He publicado nuevos apuntes de 1º Álgebra Lineal: ALGEBRA-LINEAL.-TEMA-4.-DIAGONALIZACION.pdf

2 páginas

He publicado nuevos apuntes de 1º Álgebra Lineal: ALGEBRA-LINEAL.-TEMA-3.-EL-ESPACIO-VECTORIAL.pdf

8 páginas

He publicado nuevos examenes de 1º Álgebra Lineal: 1er-parcial-Algebra-2023.pdf

6 páginas

He publicado nuevos apuntes de 1º Álgebra Lineal: TEMA-3-VECTORES.pdf

9 páginas

He publicado nuevos apuntes de 1º Álgebra Lineal: Propiedades-Temas-1and2.pdf

2 páginas

He publicado nuevos ejercicios de 1º Álgebra Lineal: Hoja2-Algebra-Lineal-21-22.pdf

3 páginas

He publicado nuevos ejercicios de 1º Álgebra Lineal: Hoja1-Algebra-Lineal-21-22.pdf

3 páginas

He publicado nuevos apuntes de 1º Álgebra Lineal: ALGEBRA-LINEAL.-TEMA-2.-ALGEBRA-DE-MATRICES-Y-DETERMINANTES.pdf

4 páginas

He publicado nuevos apuntes de 1º Álgebra Lineal: ALGEBRA-LINEAL.-TEMA-1.-SISTEMAS-DE-ECUACIONES-LINEALES.pdf

2 páginas

He publicado nuevos otros de 1º Álgebra Lineal: GUIA-DOCENTE-Algebra-Lineal.pdf

3 páginas
Anónimo

@Anónimo

examenes

-

Final Enero 2022-23

He publicado nuevos examenes de 1º Álgebra Lineal: Final Enero 2022-23

Final-Enero-2022-23.pdf
Final-Enero-2022-23.pdf
Final-Enero-2022-23.pdf
Solucion-Final-Enero-2022-23.pdf
Solucion-Final-Enero-2022-23.pdf
Solucion-Final-Enero-2022-23.pdf

examenes

-

EXAMENES CURSO 2022/2023

He publicado nuevos examenes de 1º Álgebra Lineal: EXAMENES CURSO 2022/2023

Control-2-G27.pdf
Control-2-G27.pdf
Control-2-G27.pdf
Control-2-G28.pdf
Control-2-G28.pdf
Control-2-G28.pdf
Anónimo

@Anónimo

examenes

-

1er Parcial 2022-23

He publicado nuevos examenes de 1º Álgebra Lineal: 1er Parcial 2022-23

1er-Parcial-2022-23-A.pdf
1er-Parcial-2022-23-A.pdf
1er-Parcial-2022-23-A.pdf
1er-Parcial-2022-23-B.pdf
1er-Parcial-2022-23-B.pdf
1er-Parcial-2022-23-B.pdf

apuntes

-

3er Parcial 2022-23 gr.28

He publicado nuevos apuntes de 1º Álgebra Lineal: 3er Parcial 2022-23 gr.28

3er-Parcial-2022-23-gr.28.pdf
3er-Parcial-2022-23-gr.28.pdf
3er-Parcial-2022-23-gr.28.pdf
Solucion-3er-Parcial-2022-23-gr.28.pdf
Solucion-3er-Parcial-2022-23-gr.28.pdf
Solucion-3er-Parcial-2022-23-gr.28.pdf
Anónimo

@Anónimo

examenes

-

3er Parcial 2022-23 gr.27

He publicado nuevos examenes de 1º Álgebra Lineal: 3er Parcial 2022-23 gr.27

3er-Parcial-2022-23-gr.27.pdf
3er-Parcial-2022-23-gr.27.pdf
3er-Parcial-2022-23-gr.27.pdf
Solucion-3er-Parcial-2022-23-gr.27.pdf
Solucion-3er-Parcial-2022-23-gr.27.pdf
Solucion-3er-Parcial-2022-23-gr.27.pdf
Anónimo

@Anónimo

examenes

-

2º Parcial 2022-23

He publicado nuevos examenes de 1º Álgebra Lineal: 2º Parcial 2022-23

2oParcial-2022-23-gr.pdf
2oParcial-2022-23-gr.pdf
2oParcial-2022-23-gr.pdf
2oParcial-2022-23-gr.pdf
2oParcial-2022-23-gr.pdf
2oParcial-2022-23-gr.pdf
Anónimo

@Anónimo

He publicado nuevos examenes de 1º Álgebra Lineal: 1er-Parcial-2022-23.pdf

4 páginas

examenes

-

EXÁMENES ÁLGEBRA

He publicado nuevos examenes de 1º Álgebra Lineal: EXÁMENES ÁLGEBRA

Ejemplo-de-examen-ordinario.pdf
Ejemplo-de-examen-ordinario.pdf
Ejemplo-de-examen-ordinario.pdf
examen-3-soluciones.pdf
examen-3-soluciones.pdf
examen-3-soluciones.pdf
Anónimo

@Anónimo

ejercicios

-

Ejercicios

He publicado nuevos ejercicios de 1º Álgebra Lineal: Ejercicios

Hoja5-Algebra.pdf
Hoja5-Algebra.pdf
Hoja5-Algebra.pdf
Hoja2-Algebra-20-21.pdf
Hoja2-Algebra-20-21.pdf
Hoja2-Algebra-20-21.pdf
Anónimo

@Anónimo

examenes

-

Exámenes

He publicado nuevos examenes de 1º Álgebra Lineal: Exámenes

Solucion-Control-2-G29.pdf
Solucion-Control-2-G29.pdf
Solucion-Control-2-G29.pdf
Control-3-G27-1.pdf
Control-3-G27-1.pdf
Control-3-G27-1.pdf