Todo
Apuntes
Ejercicios
Exámenes
Otros
publication
chevron_left
chevron_right

examenes

-

Exámenes 2024-2025 Con Solución

He publicado nuevos examenes de 1º Álgebra Lineal: Exámenes 2024-2025 Con Solución

Ordinario-24-25-GITI.pdf
Ordinario-24-25-GITI.pdf
Ordinario-24-25-GITI.pdf
UC3MEXAMS.pdf
UC3MEXAMS.pdf
UC3MEXAMS.pdf

examenes

-

Recopilación de Ordinarios Con Solución

He publicado nuevos examenes de 1º Álgebra Lineal: Recopilación de Ordinarios Con Solución

Final-2024.pdf
Final-2024.pdf
Final-2024.pdf
Final-2022.pdf
Final-2022.pdf
Final-2022.pdf

He publicado nuevos examenes de 1º Álgebra Lineal: Final 2024-25 con soluciones.pdf

8 páginas

He publicado nuevos examenes de 1º Álgebra Lineal: Final 2023-24 con soluciones.pdf

5 páginas

He publicado nuevos examenes de 1º Álgebra Lineal: Final 2022-23 con soluciones.pdf

4 páginas

He publicado nuevos examenes de 1º Álgebra Lineal: Final 2021-22 con soluciones.pdf

5 páginas

He publicado nuevos ejercicios de 1º Álgebra Lineal: Ejercicios-Algebra.pdf

21 páginas

He publicado nuevos ejercicios de 1º Álgebra Lineal: Todas-las-formulas-de-Algebra-Explicacion-y-ejercicios-para-parcial-y-final.pdf

41 páginas

apuntes

-

1, 2 Partial exams with solutions 2024 - 25 / examen pardiales con soluciones 2024- 25

He publicado nuevos apuntes de 1º Álgebra Lineal: 1, 2 Partial exams with solutions 2024 - 25 / examen pardiales con soluciones 2024- 25

2425LinearAlgebra3738391stpartial.pdf
2425LinearAlgebra3738391stpartial.pdf
2425LinearAlgebra3738391stpartial.pdf
2425LinearAlgebra3738392ndpartial.pdf
2425LinearAlgebra3738392ndpartial.pdf
2425LinearAlgebra3738392ndpartial.pdf

final exam 2025 solutions

8 páginas

Todas las fórmulas y teoría para el examen final

2 páginas

He publicado nuevos apuntes de 1º Álgebra Lineal: Apuntes-completos-algebra-lineal.pdf

6 páginas
Anónimo

@Anónimo

He publicado nuevos examenes de 1º Álgebra Lineal: SolsFinalAlgebraJan2018.pdf

5 páginas
Anónimo

@Anónimo

He publicado nuevos apuntes de 1º Álgebra Lineal: Notas-Espanol.pdf

Miniatura no disponible
388 páginas
Anónimo

@Anónimo

He publicado nuevos apuntes de 1º Álgebra Lineal: 4.SUBESPACIOS-Y-APLICACIONES-academia.pdf

6 páginas
Anónimo

@Anónimo

He publicado nuevos apuntes de 1º Álgebra Lineal: 2.DETERMINANTES-academia.pdf

2 páginas
Anónimo

@Anónimo

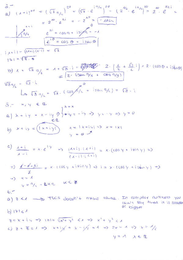
He publicado nuevos apuntes de 1º Álgebra Lineal: 1.NUMEROS-COMPLEJOS-academia.pdf

3 páginas
Anónimo

@Anónimo

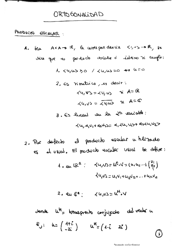
He publicado nuevos apuntes de 1º Álgebra Lineal: 7.ORTOGONALIDAD-academia.pdf

11 páginas
Anónimo

@Anónimo

He publicado nuevos apuntes de 1º Álgebra Lineal: 6.DIAGONALIZACION.pdf

2 páginas
Anónimo

@Anónimo

He publicado nuevos apuntes de 1º Álgebra Lineal: 5.SUBESPACIOS-DE-UNA-MATRIZ-academia.pdf

1 página
Anónimo

@Anónimo

He publicado nuevos apuntes de 1º Álgebra Lineal: Definiciones-Temas-4-5-6-7-y-8.pdf

12 páginas

examenes

-

Examenes finales con solución

He publicado nuevos examenes de 1º Álgebra Lineal: Examenes finales con solución

2019.01.17-Enero.pdf
2019.01.17-Enero.pdf
2019.01.17-Enero.pdf
2019.06.17-Junio.pdf
2019.06.17-Junio.pdf
2019.06.17-Junio.pdf
Anónimo

@Anónimo

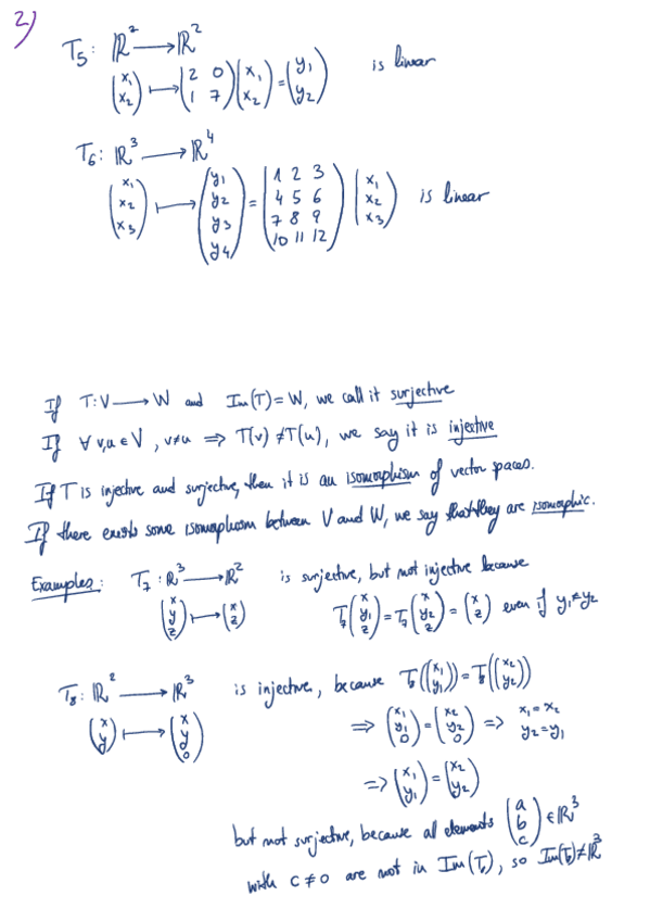
He publicado nuevos apuntes de 1º Álgebra Lineal: Linear-transformation.pdf

4 páginas
Anónimo

@Anónimo

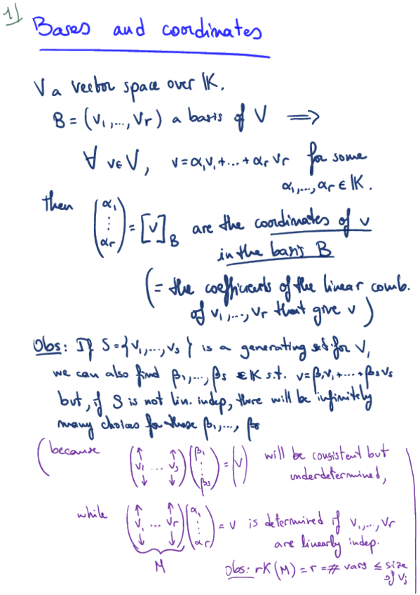
He publicado nuevos apuntes de 1º Álgebra Lineal: Bases-and-coordinates.pdf

6 páginas
Anónimo

@Anónimo

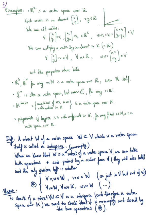
He publicado nuevos apuntes de 1º Álgebra Lineal: Vector-spaces.pdf

12 páginas
Anónimo

@Anónimo

He publicado nuevos apuntes de 1º Álgebra Lineal: Matrices.pdf

8 páginas
Anónimo

@Anónimo

He publicado nuevos apuntes de 1º Álgebra Lineal: Complex-numbers.pdf

10 páginas

He publicado nuevos apuntes de 1º Álgebra Lineal: Apuntes-ingles-asignatura-completa.pdf

39 páginas

He publicado nuevos apuntes de 1º Álgebra Lineal: ALGEBRA-RESUMEN-FORMULAS.pdf

6 páginas

apuntes

-

APUNTES ÁLGEBRA LINEAL COMPLETOS

He publicado nuevos apuntes de 1º Álgebra Lineal: APUNTES ÁLGEBRA LINEAL COMPLETOS

Claves.pdf
Claves.pdf
Claves.pdf
Algebra-Lineal-Valores-Y-Vectores-Propios-Y-Numeros-Complejos.pdf
Algebra-Lineal-Valores-Y-Vectores-Propios-Y-Numeros-Complejos.pdf
Algebra-Lineal-Valores-Y-Vectores-Propios-Y-Numeros-Complejos.pdf

He publicado nuevos apuntes de 1º Álgebra Lineal: APUNTESALGEBRALINEAL.pdf

18 páginas
Anónimo

@Anónimo

He publicado nuevos examenes de 1º Álgebra Lineal: EXAMEN-FINAL-ALGEBRA-2024-CORREGIDO.pdf

5 páginas

INAL ORDINARIO INGLES 2024 CON SOLUCIONES

6 páginas

He publicado nuevos apuntes de 1º Álgebra Lineal: TEMA-1-NUMEROS-COMPLEJOS.pdf

2 páginas

He publicado nuevos apuntes de 1º Álgebra Lineal: TEMA-2-SISTEMAS-LINEALES.pdf

2 páginas

He publicado nuevos apuntes de 1º Álgebra Lineal: TEMA-3-ESPACIOS-VECTORIALES.pdf

1 página

He publicado nuevos apuntes de 1º Álgebra Lineal: TEMA-5-BASES.pdf

1 página

He publicado nuevos apuntes de 1º Álgebra Lineal: TEMA-4-MATRICES.pdf

3 páginas

He publicado nuevos apuntes de 1º Álgebra Lineal: TEMA-6-ORTOGONALIDAD.pdf

2 páginas

He publicado nuevos apuntes de 1º Álgebra Lineal: TEMA-7-AUTOVALORES-Y-AUTOVECTORES.pdf

2 páginas
Anónimo

@Anónimo

He publicado nuevos examenes de 1º Álgebra Lineal: Parcial-2.pdf

4 páginas

apuntes

-

Resúmenes por temas Álgebra Lineal (inglés)

He publicado nuevos apuntes de 1º Álgebra Lineal: Resúmenes por temas Álgebra Lineal (inglés)

R.-Review-Resumen.pdf
R.-Review-Resumen.pdf
R.-Review-Resumen.pdf
0.-Complex-numbers-Resumen.pdf
0.-Complex-numbers-Resumen.pdf
0.-Complex-numbers-Resumen.pdf

apuntes

-

Apuntes por temas Álgebra Lineal (inglés)

Apuntes en inglés de cada tema de la asignatura de Álgebra Lineal

R.-Review-Topics-Apuntes.pdf
R.-Review-Topics-Apuntes.pdf
R.-Review-Topics-Apuntes.pdf
0.-Complex-Numbers-Apuntes.pdf
0.-Complex-Numbers-Apuntes.pdf
0.-Complex-Numbers-Apuntes.pdf

apuntes

-

Apuntes Algebra Lineal

He publicado nuevos apuntes de 1º Álgebra Lineal: Apuntes Algebra Lineal

T.1-Sistemas-Ec-Lineales.pdf
T.1-Sistemas-Ec-Lineales.pdf
T.1-Sistemas-Ec-Lineales.pdf
T.2-Matrices.pdf
T.2-Matrices.pdf
T.2-Matrices.pdf
Anónimo

@Anónimo

He publicado nuevos apuntes de 1º Álgebra Lineal: Numeros-complejos.pdf

1 página

apuntes

-

Theory All topics

He publicado nuevos apuntes de 1º Álgebra Lineal: Theory All topics

Chapter.4.Q-QF5UM.pdf
Chapter.4.Q-QF5UM.pdf
Chapter.4.Q-QF5UM.pdf
Chapter.3.Q-1Cvvm.pdf
Chapter.3.Q-1Cvvm.pdf
Chapter.3.Q-1Cvvm.pdf

examenes

-

Resumenes y ejercicios de toda la asignatura Spoc

He publicado nuevos examenes de 1º Álgebra Lineal: Resumenes y ejercicios de toda la asignatura Spoc

Examenes-modulos-2-4-y-5.pdf
Examenes-modulos-2-4-y-5.pdf
Examenes-modulos-2-4-y-5.pdf
Modulo-1.pdf
Modulo-1.pdf
Modulo-1.pdf

He publicado nuevos examenes de 1º Álgebra Lineal: Ejercicios-de-examen-resueltos.pdf

9 páginas

ejercicios

-

Problemas con solución de toda la asignatura

He publicado nuevos ejercicios de 1º Álgebra Lineal: Problemas con solución de toda la asignatura

Problemas-con-soluciones-tema-1.pdf
Problemas-con-soluciones-tema-1.pdf
Problemas-con-soluciones-tema-1.pdf
Problemas-con-soluciones-tema-2.pdf
Problemas-con-soluciones-tema-2.pdf
Problemas-con-soluciones-tema-2.pdf

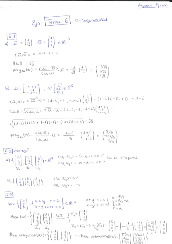
He publicado nuevos ejercicios de 1º Álgebra Lineal: Ejercicios-tema-6.pdf

8 páginas

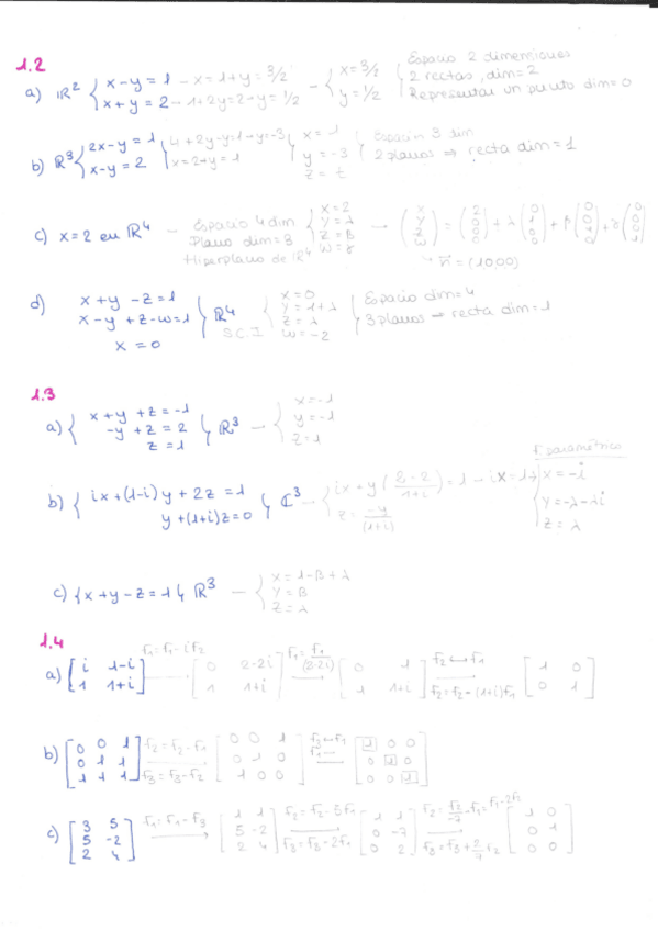
He publicado nuevos ejercicios de 1º Álgebra Lineal: Ejercicios-tema-1.pdf

4 páginas

He publicado nuevos ejercicios de 1º Álgebra Lineal: Ejercicios-tema-5.pdf

4 páginas

He publicado nuevos ejercicios de 1º Álgebra Lineal: Ejercicios-tema-4.pdf

3 páginas

He publicado nuevos ejercicios de 1º Álgebra Lineal: Ejercicios-Tema-0.pdf

4 páginas

He publicado nuevos apuntes de 1º Álgebra Lineal: Esquemas con ejercicios T3yT4.pdf

6 páginas

He publicado nuevos apuntes de 1º Álgebra Lineal: Esquemas con ejercicios T7yT8.pdf

11 páginas

He publicado nuevos apuntes de 1º Álgebra Lineal: Esquemas con ejercicios T5yT6.pdf

9 páginas

He publicado nuevos apuntes de 1º Álgebra Lineal: Esquemas con ejercicios T1yT2.pdf

8 páginas

He publicado nuevos apuntes de 1º Álgebra Lineal: Esquemas con ejercicios T0.pdf

8 páginas