Physicist
Tutelades resoltes
AGI1-Tutelada.pdf
26 páginas
AGI2-Tutelada.pdf
AGI4-Tutelada.pdf
14 páginas
AGI5-Tutelada.pdf
28 páginas
AGI3-Tutelada.pdf
34 páginas
Ejercicios - T3algebraI.pdf
pdf
19 páginas
274
0
Apuntes - PROBLEMAST2_ESTRUCTURAS ALGEBRAICAS.pdf
220
Ejercicios - AGI3-Tutelada.pdf
351
1
Ejercicios - TEMA-2-Problemes-i-Test-RESOLTS-AiG-I.pdf
33 páginas
313
Ejercicios - T5algebraI.pdf
212
Ejercicios - AGI2-Tutelada.pdf
275
Ejercicios - AGI4-Tutelada.pdf
216
Ejercicios - TEMA-3-Problemes-i-Test-RESOLTS-AiG-I.pdf
20 páginas
241
Ejercicios - T4algebraI.pdf
13 páginas
171
Ejercicios - AGI5-Tutelada.pdf
195
Ejercicios - TUTELADAS-3-ALGI.pdf
75
Ejercicios - AGI1-Tutelada.pdf
181
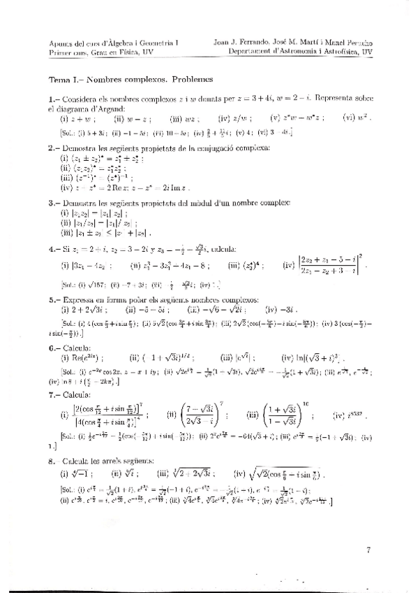
Ejercicios - Problemes-tema-1-AiG-I.pdf
16 páginas
127
Ejercicios - TEMA-4-Problemes-i-Test-RESOLTS-AiG-I.pdf
11 páginas
106
Ejercicios - Problemas-T4.pdf
7 páginas
115
Ejercicios - Cuestiones-T5.pdf
4 páginas
76
Test - cuestionestema2sol.pdf
3 páginas
61
Test - cuestionestema1sol.pdf
51
Ejercicios - TUTELADAS-2-ALGI.pdf
17 páginas
72
2
Apuntes - alg-tema-2-copia.pdf
37