MuonTravieso
EJS. TIPO EXAMEN
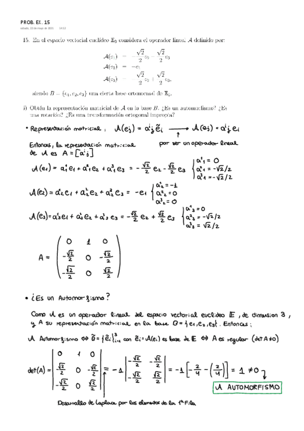
ALG-II-EX-15.pdf
5 páginas
ALG-II-EX-4.pdf
3 páginas
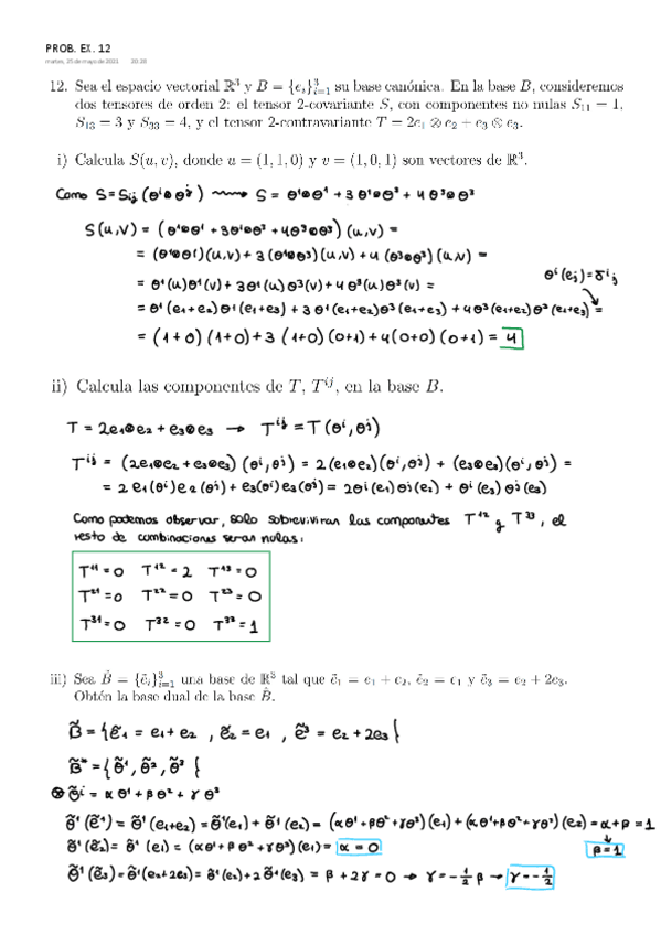
ALG-II-EX-12.pdf
ALG-II-EX-3.pdf
4 páginas
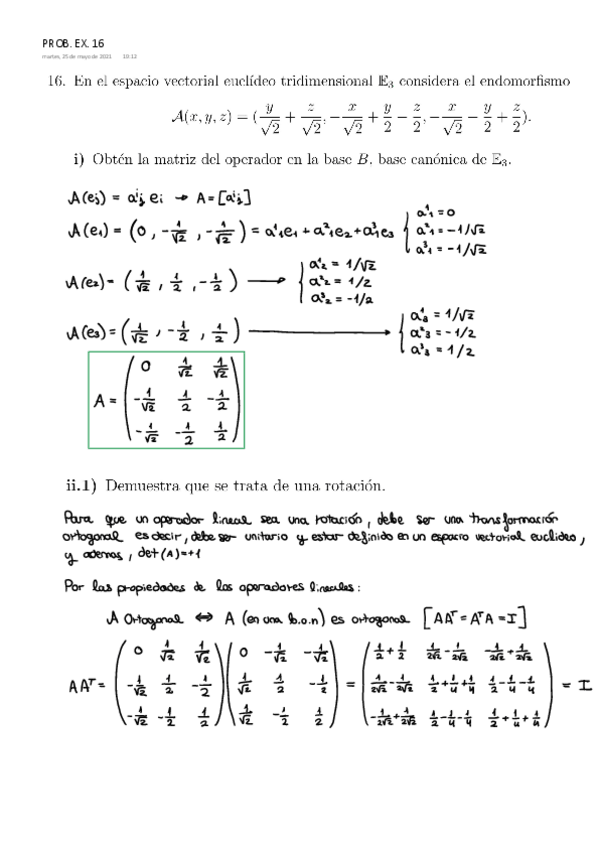
ALG-II-EX-16.pdf
2 páginas
ALG-II-EX-2.pdf
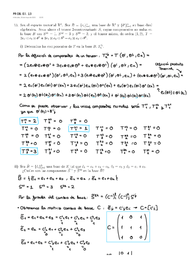
ALG-II-EX-13.pdf
ALG-II-EX-17.pdf
Ejercicios - Tema-5-Problemas-Completo.pdf
pdf
11 páginas
27
0
Ejercicios - AyGII-T2.pdf
27 páginas
284
Ejercicios - Tema-4-Problemas-Extra.pdf
16
Exámenes - AyGII-problemas-examen.pdf
38 páginas
231
Ejercicios - T2algebraII.pdf
9 páginas
243
Ejercicios - TuteladaTema2.pdf
23 páginas
283
Ejercicios - Problemes-i-questions-A-II.pdf
0 páginas
188
Ejercicios - AyGII-T3.pdf
36 páginas
173
Ejercicios - Tema-4-Cuestiones-(Completo).pdf
6 páginas
7
Ejercicios - TuteladaTema1.pdf
19 páginas
199
Ejercicios - T4algebraII.pdf
148
Ejercicios - AyGII-T4.pdf
18 páginas
168
Ejercicios - T3algebraII.pdf
180
Exámenes - ALG-II-EX-15.pdf
105
1
Ejercicios - TuteladaTema3.pdf
40 páginas
200
Ejercicios - Tema-3-Cuestiones-(Completo).pdf
11
Ejercicios - TuteladaTema4.pdf
17 páginas
157
Ejercicios - Tema-2-Cuestiones-(Completo).pdf
13
Ejercicios - AyGII-T1.pdf
21 páginas
175
Exámenes - Julio-2019-Problemas.pdf
52