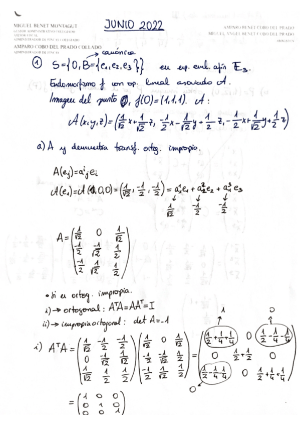
Álgebra y Geometría II

chevron_left
chevron_right
Todo
Apuntes
Ejercicios
Exámenes
Trabajos
chevron_left
chevron_right

He publicado nuevos apuntes de 1º Álgebra y Geometría II: Entregable-T2-Aplicacions-lineal.pdf

4 páginas

He publicado nuevos apuntes de 1º Álgebra y Geometría II: Entregable-T3-Teoria-Espectral.pdf

4 páginas

Cosas importantes que debes tener claras para el examennn

12 páginas

apuntes

-

Apuntes álgebra II

He publicado nuevos apuntes de 1º Álgebra y Geometría II: Apuntes álgebra II

algebra-II-Tema-1.pdf
algebra-II-Tema-3.pdf
algebra-II-Tema-4.pdf
algebra-II-tema-5.pdf

Subrayados para examen

12 páginas

Resumen de todo lo que necesitas para cuestiones y problemas de examen

2 páginas

He publicado nuevos apuntes de 1º Álgebra y Geometría II: Algebra-y-Geometria-2-2025-Todos-los-Temas.pdf

62 páginas

apuntes

-

Temas 1-4 Álgebra II

Resúmenes de los 4 primeros temas de álgebra II

algt1.pdf
algt2.pdf
algt3.pdf
algt4.pdf

He publicado nuevos apuntes de 1º Álgebra y Geometría II: resumen-temas 1-5 Algebra II.pdf

8 páginas

ejercicios

-

Álgebra II

He publicado nuevos ejercicios de 1º Álgebra y Geometría II: Álgebra II

Boletin-1.pdf
Cuestiones-1.pdf
Boletin-2.pdf
Boletin-3.pdf
Boletin-4.pdf

Cuestiones Espacio afín y espacio afín euclídeo

2 páginas

Problemas Espacio afín y espacio afín euclídeo

4 páginas

Espacio afín y espacio afín euclídeo

10 páginas

Problemas Tensores. Teoría algebraica

16 páginas

Ejemplos del tema 4

2 páginas

Tensores. Teoría algebraica

12 páginas

Problemas Teoría espectral

18 páginas

Teoría espectral

20 páginas

Problemas Aplicaciones lineales

18 páginas

Aplicaciones lineales

19 páginas

Problemas Matrices y determinantes

15 páginas

Matrices y determinantes

15 páginas

1er entregable

5 páginas

Prueba larga

2 páginas

Prueba corta

2 páginas

Prueba corta

3 páginas

Prueba corta

2 páginas

Prueba larga

2 páginas

Resuelto, problema 1

4 páginas

Resuelto, problemas

14 páginas

Resuelto, problemas

11 páginas

Resuelto, test junio 2012

7 páginas
Anónimo

@Anónimo

He publicado nuevos ejercicios de 1º Álgebra y Geometría II: Boletin-tema-5.pdf

6 páginas
Anónimo

@Anónimo

He publicado nuevos ejercicios de 1º Álgebra y Geometría II: Boletin-tema-4.pdf

14 páginas
Anónimo

@Anónimo

He publicado nuevos ejercicios de 1º Álgebra y Geometría II: Boletin-tema-3.pdf

20 páginas
Anónimo

@Anónimo

He publicado nuevos ejercicios de 1º Álgebra y Geometría II: Boletin-tema-2.pdf

18 páginas

apuntes

-

Apuntes (TODO TEMARIO)

He publicado nuevos apuntes de 1º Álgebra y Geometría II: Apuntes (TODO TEMARIO)

apuntes-tema-1.pdf
apuntes-tema-2.pdf
apuntes-tema-3.pdf
apuntes-tema-4.pdf
apuntes-tema-5.pdf
Anónimo

@Anónimo

He publicado nuevos ejercicios de 1º Álgebra y Geometría II: Boletin-tema-1.pdf

19 páginas
Anónimo

@Anónimo

He publicado nuevos apuntes de 1º Álgebra y Geometría II: Apuntes-tema-4.pdf

5 páginas
Anónimo

@Anónimo

He publicado nuevos ejercicios de 1º Álgebra y Geometría II: Problema-Pascua-algebra.pdf

2 páginas
Anónimo

@Anónimo

He publicado nuevos apuntes de 1º Álgebra y Geometría II: Apuntes-tema-3.pdf

3 páginas

apuntes

-

Boletines caste

He publicado nuevos apuntes de 1º Álgebra y Geometría II: Boletines caste

Boletin-1-cuestiones.pdf
Boletin-2.pdf
Boletin-3.pdf
Boletin-T4.pdf
Boletin2-Cuestiones.pdf

apuntes

-

Entregables 2022

He publicado nuevos apuntes de 1º Álgebra y Geometría II: Entregables 2022

Problemafallas.pdf
ProblemaPascua.pdf
Entregable1.pdf
Entregable2.pdf

apuntes

-

Apuntes Bonitos

He publicado nuevos apuntes de 1º Álgebra y Geometría II: Apuntes Bonitos

T2.-Aplicaciones-Lineales.pdf
T1.-Matrices-Determinantes-Y-Ecuaciones-Lineales.pdf
T4.-Tensores.pdf
T3.-Teoria-Espectral.pdf
T5.-Espacio-Afin.pdf

ejercicios

-

Ejercicios por temas

He publicado nuevos ejercicios de 1º Álgebra y Geometría II: Ejercicios por temas

EJERCICIO-PASCUA.pdf
Tema-1.pdf
Tema-4.pdf
Problemas-tipo-examen.pdf
Tema-5.pdf
Tema-2.pdf

apuntes

-

Apuntes temario completo

He publicado nuevos apuntes de 1º Álgebra y Geometría II: Apuntes temario completo

1.Matrices-y-determinantes.pdf
2.Aplicaciones-lineales-2.pdf
3.Teoria-espectral.pdf
4.Tensores.pdf
5.Espacio-afin-y-euclidiano.pdf

ejercicios

-

butlletins tutelades ALGEBRA II

He publicado nuevos ejercicios de 1º Álgebra y Geometría II: butlletins tutelades ALGEBRA II

t1-ex-alg2.pdf
t2-ex-alg2.pdf
t3-ex-alg2.pdf
t4-ex-alg2.pdf
t5-ex-alg2.pdf
but-t1-alg2.pdf

He publicado nuevos apuntes de 1º Álgebra y Geometría II: Resumen-completo-AG2.pdf

12 páginas

ejercicios

-

problemaspascua/fallas22,23

He publicado nuevos ejercicios de 1º Álgebra y Geometría II: problemaspascua/fallas22,23

problemapascua2022.pdf
problemapascua2023.pdf
problemafallas2022.pdf

He publicado nuevos ejercicios de 1º Álgebra y Geometría II: problemasexamenAyGII.pdf

40 páginas

ejercicios

-

Tuteladas y cuestiones Álgebra II

He publicado nuevos ejercicios de 1º Álgebra y Geometría II: Tuteladas y cuestiones Álgebra II

ÁlgebraII.Tema1.pdf
AlgebraII.Tema2.pdf
AlgebraII.Tema3.pdf
AlgebraII.tema4.pdf
AlgebraII.Tema5.pdf

He publicado nuevos apuntes de 1º Álgebra y Geometría II: resumenexamenAyGII.pdf

5 páginas

He publicado nuevos apuntes de 1º Álgebra y Geometría II: AyG2Teoria.pdf

108 páginas

ejercicios

-

TUTELADAS (y cuestiones) ÁLGII

He publicado nuevos ejercicios de 1º Álgebra y Geometría II: TUTELADAS (y cuestiones) ÁLGII

TUTELADAS-1-ALGII.pdf
TUTELADAS-2-ALGII.pdf
TUTELADAS-3-ALGII.pdf
TUTELADAS-4-ALGII.pdf
TUTELADAS-5-ALGII.pdf

apuntes

-

TEORÍA ÁLGII

He publicado nuevos apuntes de 1º Álgebra y Geometría II: TEORÍA ÁLGII

TEORIA-1-ALGII.pdf
TEORIA-2-ALGII.pdf
TEORIA-3-ALGII.pdf
TEORIA-4-ALGII.pdf
TEORIA-5-ALGII.pdf

ejercicios

-

Ejercicios Resueltos Álgebra II Castellano

He publicado nuevos ejercicios de 1º Álgebra y Geometría II: Ejercicios Resueltos Álgebra II Castellano

Ejercicios-Tema-1.pdf
Ejercicios-Tema-2.pdf
Ejercicios-Tema-3.pdf
Ejercicios-Tema-4.pdf
Ejercicios-Tema-5.pdf

apuntes

-

Apuntes Álgebra II Castellano

He publicado nuevos apuntes de 1º Álgebra y Geometría II: Apuntes Álgebra II Castellano

Tema-1-Matrices-y-Determinantes.pdf
Tema-2-Aplicaciones-lineales-II.pdf
Tema-3-Teoria-espectral.pdf
Tema-4-Tensores.-Teoria-algebraica.pdf
Tema-5-Espacio-afin-y-espacio-afin-euclideo.pdf

He publicado nuevos apuntes de 1º Álgebra y Geometría II: RESUMENTOCHO.pdf

5 páginas

He publicado nuevos ejercicios de 1º Álgebra y Geometría II: Ejercicio-pascua-algebra.pdf

10 páginas

apuntes

-

Apuntes Completos 2023

He publicado nuevos apuntes de 1º Álgebra y Geometría II: Apuntes Completos 2023

Tema-1.pdf
Tema-2.pdf
Tema-3.pdf
Tema-4.pdf
Tema-5.pdf