Portada
Asignatura
Grado en Ingeniería Informática de Gestión y Sistemas de Información (EHU)
Álgebra
Fecha de subida
06 ene 2024
Categoría
ejercicios
Información
Ejercicios álgebra
Etiquetas
Apuntes - aljebra proiektua.nb
nb
11
1
Apuntes - 1Praktika.nb
5
0
Apuntes - 4.PRAKTIKA(ALJEBRA(DIAGONALIZAZIOA)).nb
9
Apuntes - RESUMEN-WOLFRAM-final.pdf
pdf
3 páginas
8
Apuntes - EXAMEN-2022-2023.pdf
5 páginas
12
Apuntes - RESUMEN-ALGEBRA-temas-12345.pdf
7 páginas
2
Ejercicios - ejerciciosAlgebra.pdf
112 páginas
7
Exámenes - Aljebra-azterketa-2020-2021.pdf
1 página
21
Ejercicios - 1gaiaAriketazerrenda.pdf
8 páginas
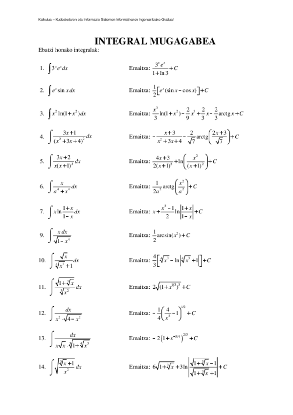
Ejercicios - 1INTEGRAL-MUGAGABEA.pdf
3
Apuntes - mayo-2021-2022.pdf
4 páginas
Apuntes - junio-20-21.pdf
Apuntes - junio-2021-2022.pdf
Apuntes - mayo-2020-2021.pdf
Información
Ejercicios álgebra