martafur_
Aljebra (Ariketak)
EkuazioLinealetakoSistemak.pdf
11 páginas
Determinanteak.pdf
8 páginas
Matrizeak.pdf
4 páginas
EgituraAljebraikoak.pdf
5 páginas
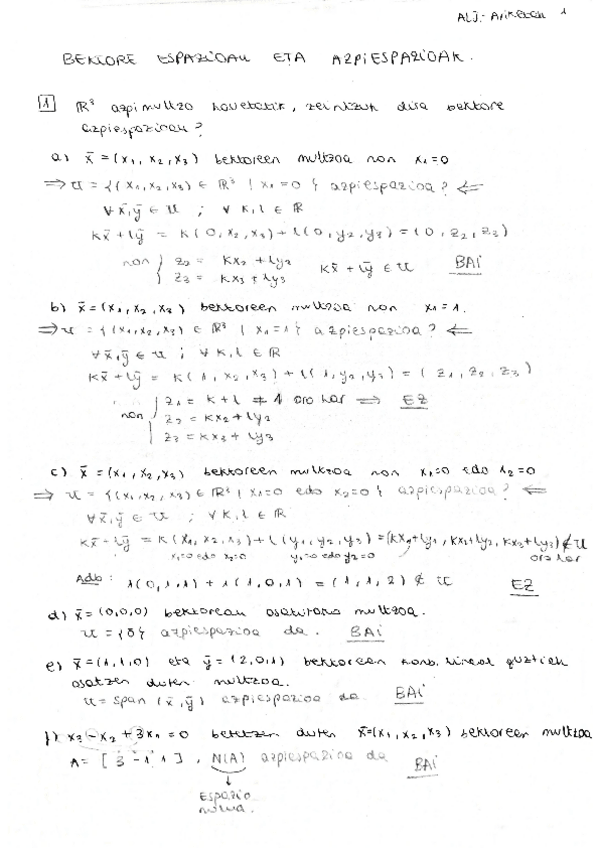
BektoreEspazioakEtaAzpiespazioak.pdf
14 páginas
Aplikazioak.pdf
3 páginas
AplikazioLinealak.pdf
7 páginas
BalioPropioEtaAutobektoreak.pdf
6 páginas
Ejercicios - EgituraAljebraikoak.pdf
pdf
23
0
Ejercicios - Determinanteak.pdf
25
Ejercicios - AplikazioLinealak.pdf
19
1
Apuntes - Matrizeak-Ariketak.pdf
1 página
22
Apuntes - Aljebraapunteak.pdf
95 páginas
2
Ejercicios - BektoreEspazioakEtaAzpiespazioak.pdf
18
Ejercicios - EkuazioLinealetakoSistemak.pdf
Apuntes - EgituraAljebraikoak_Laburpena.pdf
13
Apuntes - DIAGONALIZAZIOA.pdf
12
Ejercicios - Aplikazioak.pdf
Ejercicios - BalioPropioEtaAutobektoreak.pdf
14
Apuntes - MULTZOAK-ALJEBRA.pdf
16
Apuntes - ORTOGONALTASUNA.pdf
Apuntes - BEKTOREAK-ARIKETAK.pdf
Apuntes - MORFISMOAK.pdf
10
Apuntes - Matrizeak_Laburpenak.pdf
8
Exámenes - ALGEBRA_SOLUCION_Examen Parcial 3er Bloque.pdf
Ejercicios - Matrizeak.pdf
Exámenes - ALGEBRA_ENUNCIADO_Examen Parcial 2do Bloque.pdf
2 páginas
7
Exámenes - ALGEBRA_ENUNCIADO_Examen Parcial 1er Bloque.pdf
6