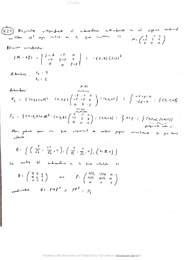
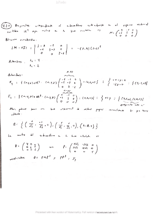
al8.pdf
Portada
Asignatura
account_balance
Grado en Ingeniería de Tecnologías Industriales (UDC)
Fecha de subida
25 sep 2022
Categoría
ejercicios
Etiquetas
content_copy
Portada
Asignatura
Grado en Ingeniería de Tecnologías Industriales (UDC)
Fecha de subida
25 sep 2022
Categoría
ejercicios
Etiquetas