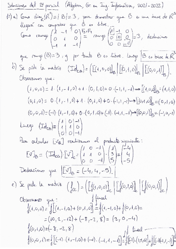
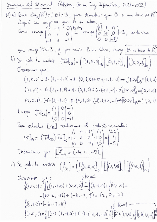
20220602-soluciones-2.pdf

yk_35

EXAMENES RESUELTOS

16 archivos·

20190321.pdf

1 página

20220329.pdf

1 página

20220329soluciones-1.pdf

3 páginas

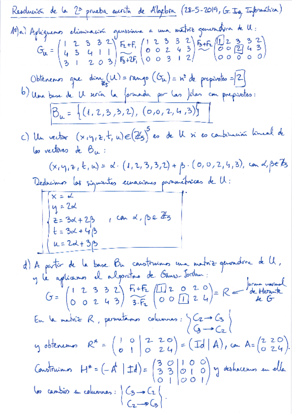
20190321soluciones.pdf

3 páginas

20210325sol.pdf

3 páginas

20210325.pdf

1 página

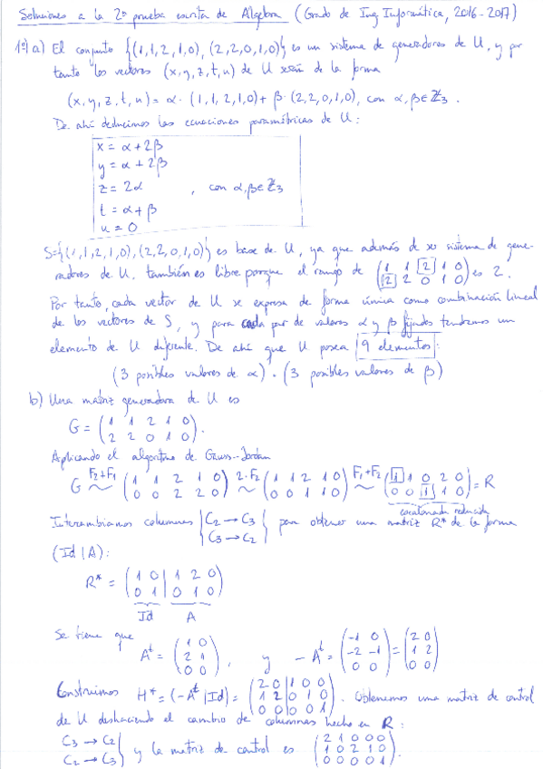
20190528soluciones.pdf

3 páginas

20180410.pdf

2 páginas

Soluciones.pdf

5 páginas

solucionesparcial1web.pdf

4 páginas

20170405.pdf

2 páginas

20170405solucion.pdf

4 páginas

20170531solucion.pdf

5 páginas

20180531sol.pdf

5 páginas

20220602-soluciones-2.pdf

4 páginas

20220602-1.pdf

1 página

content_copy

Archivos recomendados