Examen-Junio-2024.pdf

happynewyear

EXÁMENES RESUELTOS

10 archivos·

Estos exámenes están hechos de nuevo si hay algún fallo perdóname no soy profesor@

Examen-Junio-2024.pdf

6 páginas

Examen-Septiembre-2024.pdf

6 páginas

Examen-Algebra-Febrero-2025.pdf

5 páginas

Examen-Algebra-junio-20222023.pdf

4 páginas

Examen-Algebra-Septiembre-2023.pdf

6 páginas

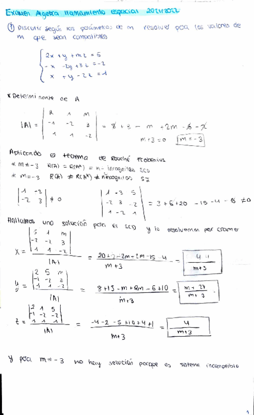
Examen-Algebra-2021-2022.pdf

6 páginas

Examen-Algebra-Febrero-2021-2022.pdf

5 páginas

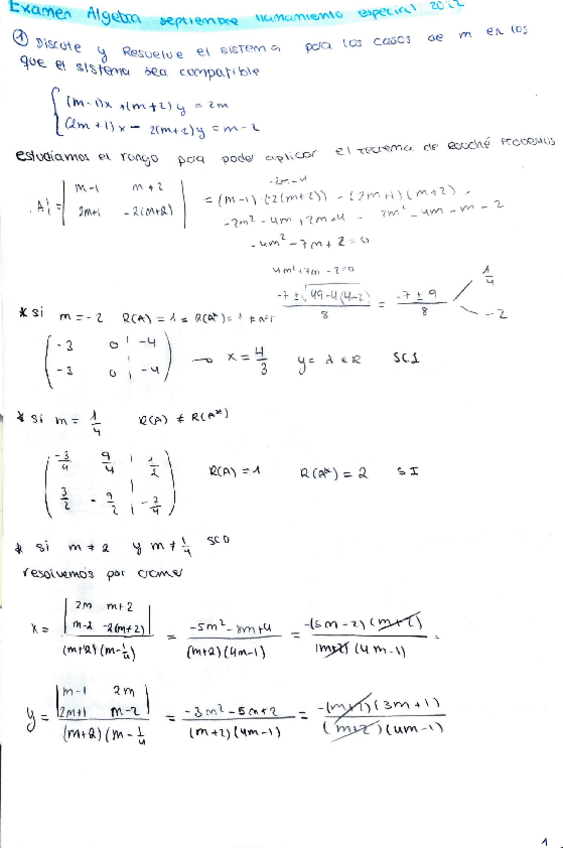
Examen-Algebra-Septiembre-llamamiento-especial-2022.pdf

5 páginas

Exmaen-Algebra-Febrero-Llamamiento-Especial-20212022.pdf

4 páginas

Examen-Algebra-Junio-2025.pdf

9 páginas

content_copy

Archivos recomendados