Anónimo
Parcial1 2021 amb solució
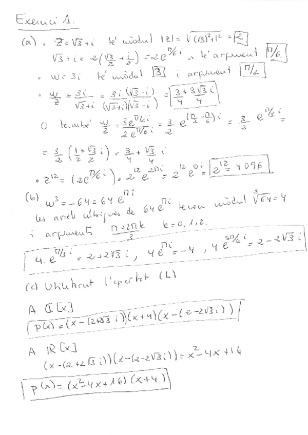
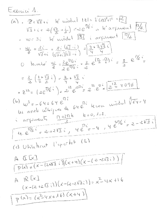
1667907567285.jpg
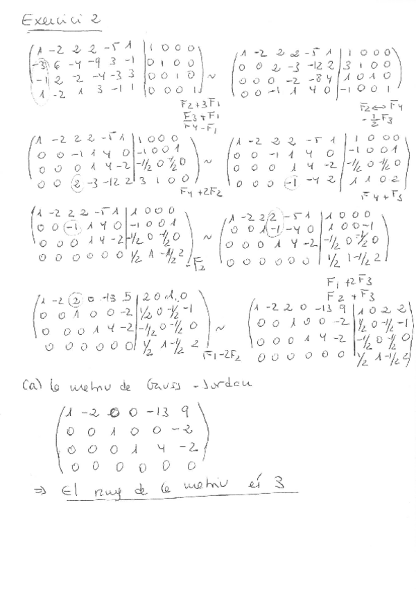
exercici2.pdf
2 páginas
exercici1-1.pdf
1 página
1erParcialAlgebraInformatica21-22solteoria.pdf
Exámenes - Parcial-2-2021-Algebra.pdf
pdf
842
1
Exámenes - Parcial-1-2020-Algebra.pdf
679
6
Exámenes - ex1.pdf
711
3
Exámenes - ex3.pdf
535
Exámenes - ex2.pdf
528
Exámenes - 2nParcialAlgebra2022.pdf
395
4
Exámenes - Teoria.pdf
435
2
Exámenes - parcial2_algebra.pdf
3 páginas
167
Exámenes - Parcial-1-2019-Algebra.pdf
472
Exámenes - seminari-5-resolt.pdf
5 páginas
458
Exámenes - 2020-enunciats.pdf
350
Exámenes - Modelrec.pdf
404
Exámenes - Sol.pdf
457
Apuntes - Formulari-Parcial-2-2020-Algebra.pdf
287
Exámenes - exercici1-1.pdf
446
Exámenes - Exercici1segonparcial.pdf
330
Exámenes - 1667907567285.jpg
jpg
321
390
Exámenes - Seminari-3-Solucionat-2021-Algebra.pdf
6 páginas
279
Exámenes - solucio-de-lexercici2.pdf