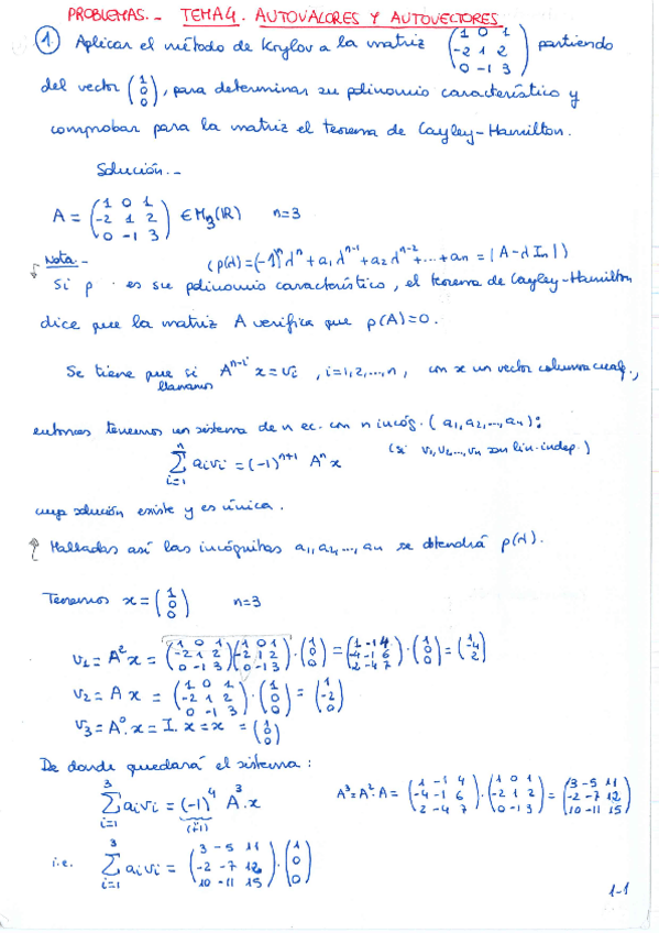
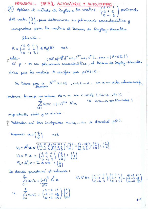
ProbAN.Tema4.1.pdf

Cuco420_S3X0

Exámenes Resueltos

13 archivos·

1.3.-control1o-2022res.pdf

7 páginas

2.3.-control-2o-2022res.pdf

8 páginas

3.1.3.exmayo2022.13.res.pdf

18 páginas

3.1.4.exmayo2022.17.res.pdf

24 páginas

4.3.exjunio2022res.pdf

20 páginas

ProbAN.Tema1.1.pdf

14 páginas

ProbAN.Tema3.1.pdf

18 páginas

ProbAN.Tema4.1.pdf

8 páginas

ProbAN.Tema4.2.pdf

11 páginas

ProbAN.Tema5.1.pdf

5 páginas

ProblAN.Tema-2.1.pdf

17 páginas

ProblAN.Tema-2.2.pdf

13 páginas

ProblAN.Tema-2.3.pdf

15 páginas

content_copy

Archivos recomendados