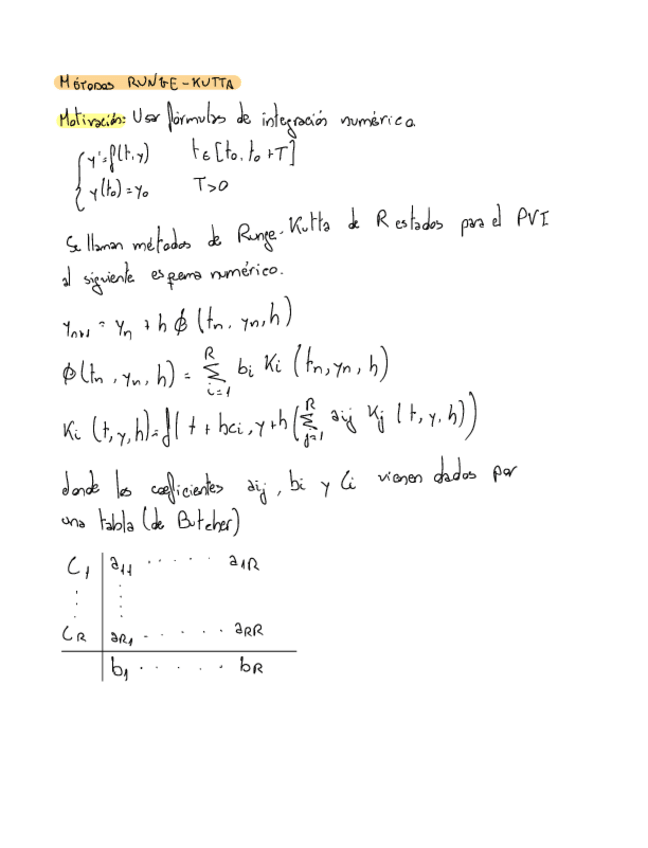
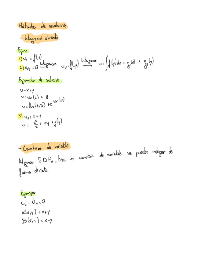
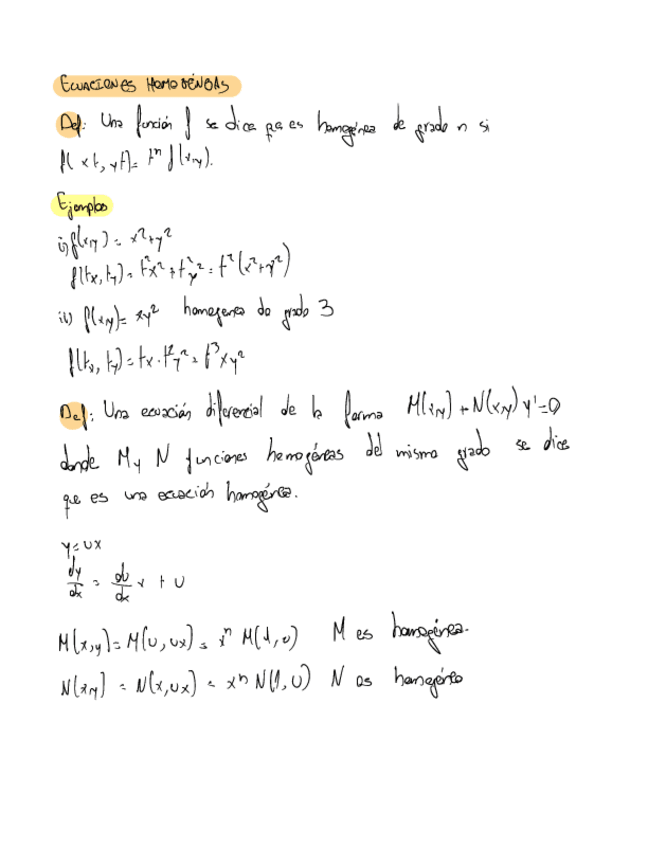
Ejercicios-runge-kutta.pdf

Anónimo

Ampliacion de Calculo y ecuaciones diferenciales 2021-2022

27 archivos·

Clase-2-ampliacion-.pdf

9 páginas

Clase-4-ampliacion-problemas.pdf

7 páginas

Clase-6-ampliacion-.pdf

7 páginas

Clase-8-ampliacion.pdf

5 páginas

Clase-10-bloque-2-ampliacion-.pdf

3 páginas

Clase-9-ampliacion-.pdf

11 páginas

Clase-10-ampliacion-.pdf

5 páginas

Clase-7-ampliacion-.pdf

7 páginas

Resumen-ampliacion-.pdf

2 páginas

Clase-15-ampliacion-.pdf

8 páginas

Clase-16-ampliacion-.pdf

3 páginas

Clase-11-ampliacion-.pdf

7 páginas

Clase-12-ampliacion-.pdf

4 páginas

Clase-14-ampliacion-.pdf

2 páginas

Clase-13-ampliacion.pdf

9 páginas

Ejercicios-runge-kutta.pdf

2 páginas

Examen-ampliacion-.pdf

9 páginas

Practica-metodos-numericos-.pdf

3 páginas

Practica-2-EDOS.pdf

3 páginas

Ejercicios-diferenciales.pdf

15 páginas

Ejercicio-EDP.pdf

1 página

Clase-18-ampliacion-.pdf

13 páginas

Clase-17-ampliacion-.pdf

7 páginas

Ejercicios-ampliacion-calculo-.pdf

22 páginas

Problemas-2-calculo.pdf

28 páginas

Repaso-ampliacion-.pdf

14 páginas

Problemas-calculo-1.pdf

13 páginas

content_copy

Archivos recomendados