02-Integrales-dobles-2.pdf

Fnoracr

Problemas de Examen resueltos

14 archivos·

01-Integral-de-Riemann.pdf

4 páginas

03-Cuerpos-de-revolucion.pdf

8 páginas

02-Integrales-dobles-2.pdf

36 páginas

04-Integrales-triples.pdf

9 páginas

06-Integrales-de-Superficie.pdf

33 páginas

08-Funciones-analiticas-y-holomorfas.pdf

8 páginas

09-Series-Complejas.pdf

17 páginas

05-Integrales-de-Linea.pdf

36 páginas

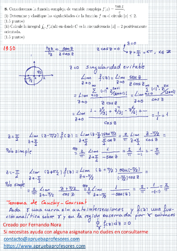
10-Singularidades-y-ceros.pdf

29 páginas

08-Funciones-analiticas-y-holomorfas.pdf

8 páginas

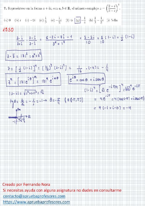
07-Numeros-Complejos.pdf

18 páginas

09-Series-Complejas.pdf

19 páginas

11-Integrales-complejas.pdf

28 páginas

12-Transformacion-en-el-plano-complejo.pdf

14 páginas

content_copy

Archivos recomendados