Ampliación de Ecuaciones Diferenciales

Todo
Apuntes
Ejercicios
Exámenes
chevron_left
chevron_right

Ejercicio 2 del examen de Inma de 2024/25 resuelto en detalle

3 páginas

He publicado nuevos apuntes de 3º Ampliación de Ecuaciones Diferenciales: Todos los 2º parciales examenes 24-25.pdf

12 páginas

He publicado nuevos apuntes de 3º Ampliación de Ecuaciones Diferenciales: Guion tipos de ejercicios 2o parcial.pdf

20 páginas

ejercicios

-

Ejercicios Resueltos

He publicado nuevos ejercicios de 3º Ampliación de Ecuaciones Diferenciales: Ejercicios Resueltos

Ejercicios-Primer-Parcial-P-1.pdf
Ejercicios-Primer-Parcial-P-2.pdf

Todas las definiciones de los temas 1, 2 y 3 (con anotaciones).

4 páginas

apuntes

-

Teoría

He publicado nuevos apuntes de 3º Ampliación de Ecuaciones Diferenciales: Teoría

1-Parcial.pdf

ejercicios

-

Boletines Resueltos

No están todos los ejercicios

2-Complementos-sobre-problemas-de-contorno-para-SDO-lineales.pdf
1-Introduccion-a-la-teoria-de-inestabilidad.pdf

Primer parcial resuelto 2024 (Grupo 1)

6 páginas

Primer Parcial del curso 2024/25 Temas 1,2,3

1 página

He publicado nuevos apuntes de 3º Ampliación de Ecuaciones Diferenciales: Resultados-AED-TEMAS-123-PARA-RESOLVER-EJERCICIOS.pdf

7 páginas

examenes

-

Ejercicios examenes resueltos

He publicado nuevos examenes de 3º Ampliación de Ecuaciones Diferenciales: Ejercicios examenes resueltos

Primeros-Parciales-AED-resueltos.pdf
Examenes-Convocatorias-AED-PARTE-1.pdf
Examenes-Convocatorias-AED-PARTE-2.pdf

He publicado nuevos ejercicios de 3º Ampliación de Ecuaciones Diferenciales: ejercicio-tipo-orbitas.pdf

8 páginas

He publicado nuevos examenes de 3º Ampliación de Ecuaciones Diferenciales: 1parcial-gr3-aed-resuelto.pdf

12 páginas

He publicado nuevos examenes de 3º Ampliación de Ecuaciones Diferenciales: primr-parcial-aed-resuelto.pdf

6 páginas

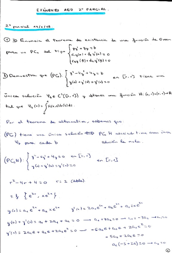
He publicado nuevos examenes de 3º Ampliación de Ecuaciones Diferenciales: segundo-parcial-gr3-resuelto.pdf

9 páginas

He publicado nuevos examenes de 3º Ampliación de Ecuaciones Diferenciales: 2parcial-24-25-aed-resuelto.pdf

17 páginas

ejercicios

-

Ejercicios resueltos

He publicado nuevos ejercicios de 3º Ampliación de Ecuaciones Diferenciales: Ejercicios resueltos

ejercicios-aed-parte-1.pdf
ejercicios-aed-parte-2.pdf
Ejercicios-aed-parte-3.pdf
Ejercicios-aed-parte-4.pdf
primera-convocatoria-24-25-aed.pdf

ejercicios

-

Ejercicios resueltos

He publicado nuevos ejercicios de 3º Ampliación de Ecuaciones Diferenciales: Ejercicios resueltos

Ejercicio1al11.pdf
Ejerccicios12al26.pdf
Ejercicios28al37.pdf
Ejercicios38al45.pdf
Ejercicios46al52.pdf
Ejercicios53al56.pdf
Anónimo

@Anónimo

He publicado nuevos examenes de 3º Ampliación de Ecuaciones Diferenciales: PRIMERACONVOCATORIA.pdf

1 página

apuntes

-

TeoremasCompletosAED

Todos los teoremas vistos en clase de ambos parciales

TeoremasSegundoParcialAED.pdf

apuntes

-

Ejercicios

He publicado nuevos apuntes de 3º Ampliación de Ecuaciones Diferenciales: Ejercicios

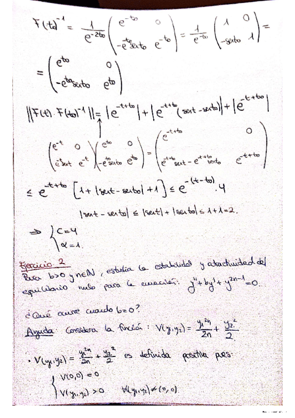
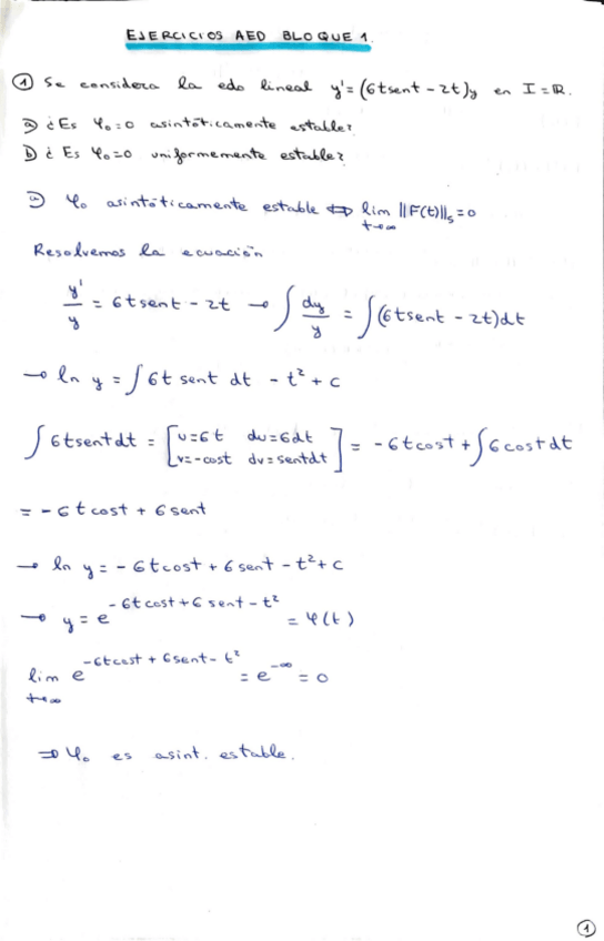
Ejercicios-bloque-1.pdf
Ejercicios-bloque-II.pdf

He publicado nuevos apuntes de 3º Ampliación de Ecuaciones Diferenciales: Recordatorio-EDOs.pdf

3 páginas

ejercicios

-

Ejercicios AED

He publicado nuevos ejercicios de 3º Ampliación de Ecuaciones Diferenciales: Ejercicios AED

Ejercicios-Boletin-AED-Primer-Parcial.pdf
Ejercicios-Boletin-AED-Segundo-Parcial.pdf
Ejercicios-Examen-AED-Primer-Parcial.pdf

apuntes

-

Teoría AED

He publicado nuevos apuntes de 3º Ampliación de Ecuaciones Diferenciales: Teoría AED

Teoria-T1-AED.pdf
Teoria-T2-AED.pdf
Teoria-T3-AED.pdf
Teoria-T4-AED.pdf

ejercicios

-

EJERCICIOS RESUELTOS

He publicado nuevos ejercicios de 3º Ampliación de Ecuaciones Diferenciales: EJERCICIOS RESUELTOS

EJERCICIOS-BLOQUE-1-AED.pdf
EJERCICIOS-BLOQUE-2-AED.pdf

apuntes

-

Problemas (1º parte)

He publicado nuevos apuntes de 3º Ampliación de Ecuaciones Diferenciales: Problemas (1º parte)

Problemas.pdf
Problemas-1.pdf

He publicado nuevos apuntes de 3º Ampliación de Ecuaciones Diferenciales: Definiciones-1a-parte.pdf

6 páginas

apuntes

-

Teoremas y demostraciones (1º parte)

He publicado nuevos apuntes de 3º Ampliación de Ecuaciones Diferenciales: Teoremas y demostraciones (1º parte)

Teoremas-con-demostraciones-Tema-2.pdf
Teoremas-con-demostraciones-Tema-1.pdf
Teoremas-con-demostraciones-Tema-3.pdf

He publicado nuevos apuntes de 3º Ampliación de Ecuaciones Diferenciales: EJERCICIOS-PARTE-II.pdf

46 páginas

apuntes

-

ApuntesCompletosAED

Apuntes Completos de la asignatura con ejercicios resueltos

ApuntesCompletosConEjercicios1P.pdf
ApuntesCompletosConEjercicios2P.pdf

He publicado nuevos ejercicios de 3º Ampliación de Ecuaciones Diferenciales: Ejercicios-Bloque2-AED.pdf

29 páginas

He publicado nuevos ejercicios de 3º Ampliación de Ecuaciones Diferenciales: Ejercicios-Bloque1-AED.pdf

38 páginas

He publicado nuevos ejercicios de 3º Ampliación de Ecuaciones Diferenciales: Ejercicios-Bloque-II.pdf

26 páginas

ejercicios

-

Ejercicios AED

He publicado nuevos ejercicios de 3º Ampliación de Ecuaciones Diferenciales: Ejercicios AED

Ejercicios-tema-3-AED.pdf
Ejercicios-temas-123-AED.pdf
Resumen-ejercicios-1parcial.pdf
Ejercicios-AED-tema-4.pdf
Parte-2-ejercicios-tema-4.pdf

apuntes

-

Apuntes por temas

He publicado nuevos apuntes de 3º Ampliación de Ecuaciones Diferenciales: Apuntes por temas

Tema-1.pdf
Tema-2.pdf
Tema-3.pdf
Tema-4.pdf

apuntes

-

Apuntes AED

He publicado nuevos apuntes de 3º Ampliación de Ecuaciones Diferenciales: Apuntes AED

Resumen-tema-2-AED.pdf
Definiciones-temas-1parcial.pdf
Resumen-tema-3-AED.pdf
Resumen-tema-1-AED.pdf
Demostraciones-importantes-1parcial.pdf
Demostraciones-tema-4-AED.pdf

He publicado nuevos ejercicios de 3º Ampliación de Ecuaciones Diferenciales: EJERCICIOST1-3.pdf

44 páginas

He publicado nuevos ejercicios de 3º Ampliación de Ecuaciones Diferenciales: ejercicios-primer-parcial-Juan.pdf

21 páginas

He publicado nuevos examenes de 3º Ampliación de Ecuaciones Diferenciales: ResueltoPrimerparcialJuanCasado2023-24.pdf

6 páginas

He publicado nuevos apuntes de 3º Ampliación de Ecuaciones Diferenciales: Teoria-entera-demostrada.pdf

22 páginas

He publicado nuevos apuntes de 3º Ampliación de Ecuaciones Diferenciales: RESUMEN-PARCIAL-1.pdf

12 páginas

He publicado nuevos apuntes de 3º Ampliación de Ecuaciones Diferenciales: resumen primer parcial aed (temas 1, 2, 3).pdf

7 páginas

He publicado nuevos ejercicios de 3º Ampliación de Ecuaciones Diferenciales: AED-EJERCICIOS-TEMAS-123.pdf

59 páginas

He publicado nuevos ejercicios de 3º Ampliación de Ecuaciones Diferenciales: AED-EJERCICIOS-TEMA-5.pdf

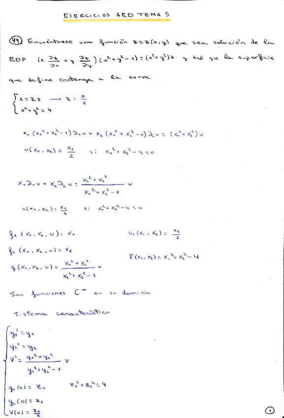
34 páginas

He publicado nuevos ejercicios de 3º Ampliación de Ecuaciones Diferenciales: AED-EJERCICIOS-TEMA-4.pdf

31 páginas

He publicado nuevos ejercicios de 3º Ampliación de Ecuaciones Diferenciales: AEDResolucionEjerciciosOrbitas.pdf

2 páginas

ejercicios

-

Ejercicios resueltos

He publicado nuevos ejercicios de 3º Ampliación de Ecuaciones Diferenciales: Ejercicios resueltos

AEDEjerciciosResueltosBloqueI.pdf
AEDEjerciciosResueltosBloqueII.pdf
AEDEjerciciosResueltosBloqueIII.pdf

He publicado nuevos apuntes de 3º Ampliación de Ecuaciones Diferenciales: AEDMisResumenesEDO.pdf

6 páginas

He publicado nuevos apuntes de 3º Ampliación de Ecuaciones Diferenciales: AEDMetodoCaracteristicas.pdf

5 páginas

He publicado nuevos apuntes de 3º Ampliación de Ecuaciones Diferenciales: AEDEstudioEstabilidad.pdf

2 páginas

He publicado nuevos examenes de 3º Ampliación de Ecuaciones Diferenciales: AEDEjerciciosResueltosSegundoParcial.pdf

4 páginas

He publicado nuevos examenes de 3º Ampliación de Ecuaciones Diferenciales: AEDEjerciciosResueltosPrimerParcial.pdf

8 páginas

apuntes

-

Tema 5 (Apuntes y resúmenes)

He publicado nuevos apuntes de 3º Ampliación de Ecuaciones Diferenciales: Tema 5 (Apuntes y resúmenes)

AEDMisApuntesT5.pdf
AEDMisResumenesT5.pdf

apuntes

-

Tema 4 (Apuntes, demostraciones y resúmenes)

He publicado nuevos apuntes de 3º Ampliación de Ecuaciones Diferenciales: Tema 4 (Apuntes, demostraciones y resúmenes)

AEDDemostracionesT4.pdf
AEDMisApuntesT4.pdf
AEDMisResumenesT4.pdf

apuntes

-

Tema 3 (Apuntes, demostraciones y resúmenes)

He publicado nuevos apuntes de 3º Ampliación de Ecuaciones Diferenciales: Tema 3 (Apuntes, demostraciones y resúmenes)

AEDDemostracionesT3.pdf
AEDMisApuntesT3.pdf
AEDMisResumenesT3.pdf

apuntes

-

Tema 2 (Apuntes, demostraciones y resúmenes)

He publicado nuevos apuntes de 3º Ampliación de Ecuaciones Diferenciales: Tema 2 (Apuntes, demostraciones y resúmenes)

AEDDemostracionesT2.pdf
AEDEjemplosApuntesResueltosT2.pdf
AEDMisApuntesT2.pdf
AEDMisResumenesT2.pdf

apuntes

-

Tema 1 (Apuntes, demostraciones y resúmenes)

He publicado nuevos apuntes de 3º Ampliación de Ecuaciones Diferenciales: Tema 1 (Apuntes, demostraciones y resúmenes)

AEDDemostracionesT1.pdf
AEDMisApuntesT1.pdf
AEDMisResumenesT1.pdf

examenes

-

Exámenes resueltos

He publicado nuevos examenes de 3º Ampliación de Ecuaciones Diferenciales: Exámenes resueltos

Examenes-AED-1oparcial.pdf
Examenes-AED-2oparcial.pdf
Miniatura no disponible
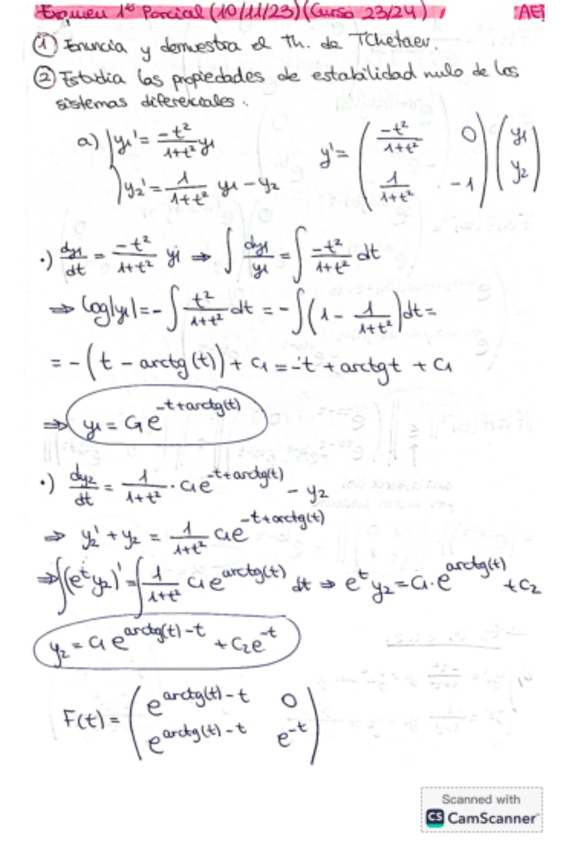
Primer-parcial-23-24.pdf
Miniatura no disponible
Segundo-parcial-23-24.pdf

ejercicios

-

Ejercicios resueltos por temas

He publicado nuevos ejercicios de 3º Ampliación de Ecuaciones Diferenciales: Ejercicios resueltos por temas

Ejercicios-AED-Temas-1-2-3.pdf
Ejercicios-AED-Tema-4.pdf
Ejercicios-AED-Tema-5.pdf

He publicado nuevos apuntes de 3º Ampliación de Ecuaciones Diferenciales: Bloque-1-aed-teoriaejercicios.pdf

45 páginas