09pizarra30092020.pdf

AlbertoHdez4

Apuntes de clase

24 archivos·

Apuntes de clase de la pizarra. Los nombres de los archivos son la fecha del día que fue la clase.

10pizarra08102020.pdf

4 páginas

09pizarra23092020.pdf

2 páginas

10pizarra15102020.pdf

4 páginas

10pizarra28102020.pdf

4 páginas

10pizarra22102020.pdf

4 páginas

09pizarra24092020.pdf

3 páginas

10pizarra21102020.pdf

3 páginas

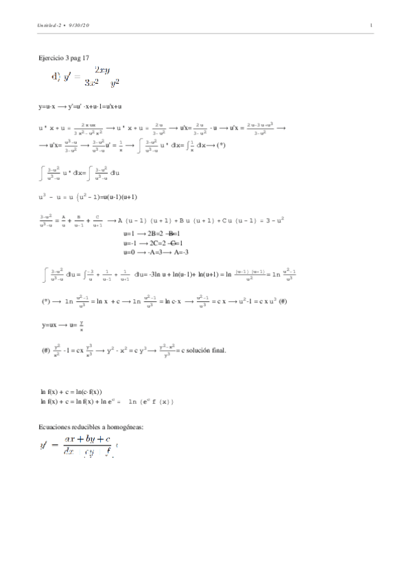
09pizarra30092020.pdf

4 páginas

10pizarra14102020.pdf

4 páginas

10pizarra01102020.pdf

5 páginas

11pizarra11112020.pdf

7 páginas

11pizarra12112020.pdf

3 páginas

12pizarra09122020.pdf

4 páginas

11pizarra19112020.pdf

7 páginas

11pizarra05112020.pdf

9 páginas

11pizarra18112020.pdf

10 páginas

12pizarra03122020.pdf

6 páginas

11pizarra04112020.pdf

7 páginas

11pizarra25112020.pdf

5 páginas

10pizarra29102020.pdf

4 páginas

12pizarra16122020.pdf

3 páginas

12pizarra17122020.pdf

5 páginas

pizarra07012021.pdf

4 páginas

12pizarra10122020.pdf

6 páginas

content_copy

Archivos recomendados