ansiahh
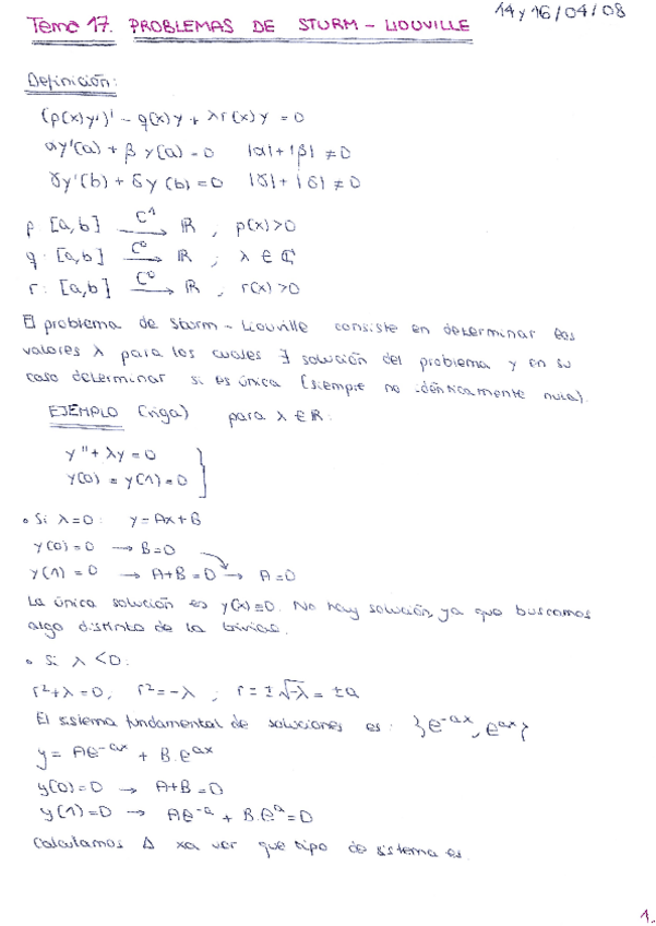
PROBLEMAS-DE-STURM-LOUVILLEAMPLIACIONMATEMATICASAPUNTES.pdf
14 páginas
Apuntes - RESUMENES-1-PARC.pdf
pdf
7 páginas
26
1
Apuntes - Estadistica-Primer-parcial.pdf
9 páginas
16
2
Apuntes - Resumenes-2-parc.pdf
5 páginas
10
0
Apuntes - FORMULARIOAMPLIACION-DE-MATEMATICAS.pdf
9
Apuntes - SERIES-DE-FOURIERAMPLIACIONMATEMATICASAPUNTES.pdf
16 páginas
8
Apuntes - PROBLEMASCONTORNOAMPLIACIONMATEMATICASAPUNTES.pdf
6
Apuntes - Actividades-Tema-5.pdf
10 páginas
Apuntes - Como-resolver-ejercicios-T-3-Ecu.Dif.pdf
6 páginas
5
Exámenes - Pruebaminuto22324SOLUCION.pdf
8 páginas
4
Ejercicios - SERIES-DE-FOURIERAMPLIACIONMATEMATICASEJERCICIOS.pdf
3
Apuntes - CALCULO-DE-VARIACIONESAMPLIACIONMATEMATICASAPUNTES.pdf
Apuntes - Tema-1-Ecuaciones-diferenciales-de-primer-orden.pdf
Apuntes - Tema-1-resumen.pdf
4 páginas
Apuntes - EXPRESION-DE-LA-SOLUCION-DEL-PROBLEMA-LxYAMPLIACIONMATEMATICASAPUNTES.pdf
2 páginas
Apuntes - FUNCION-DE-GREENAMPLIACIONMATEMATICASAPUNTES.pdf
Apuntes - PROBLEMAS-DE-STURM-LOUVILLEAMPLIACIONMATEMATICASAPUNTES.pdf
Ejercicios - CALCULO-DE-LA-FUNCION-DE-GREENAMPLIACIONMATEMATICASEJERCICIO.pdf
Apuntes - TRANSFORMADA-DE-LAPLACEAMPLIACIONMATEMATICASAPUNTES.pdf
18 páginas
Apuntes - TRANSFORMADA-DE-FOURIERAMPLIACIONMATEMATICASAPUNTES.pdf
23 páginas
Exámenes - Pruebaminuto22021SOLUCION.pdf