Portada
Asignatura
Grado en Ingeniería Electrónica Industrial y Automática (UCLM)
Ampliación de Matemáticas
Fecha de subida
11 ago 2025
Categoría
apuntes
Etiquetas
Exámenes - soljunio24.pdf
pdf
5 páginas
15
0
Apuntes - ejercicios-ampliacion-tema-1.pdf
18
Apuntes - tema-2-apuntes-ampliacion.pdf
21 páginas
Exámenes - junio23.pdf
7 páginas
12
Exámenes - enero24.pdf
4 páginas
7
Apuntes - Teoria-Tema-4-Soluciones-en-Forma-de-Series-de-Potencia.pdf
11 páginas
6
Exámenes - enero23.pdf
10
Apuntes - tema-1-ampliacion.pdf
8 páginas
Apuntes - 1-Tema-Ampliacion.pdf
Prácticas - Practica-Matlab-Euler-RangeKutta.pdf
8
Apuntes - Teoria-Tema-2-Ecuaciones-de-Primer-Orden.pdf
9 páginas
Apuntes - Teoria-Tema-5-Sistemas-de-Ecuaciones-Diferenciales-Lineales.pdf
Apuntes - Teoria-Tema-6-Transformada-de-Laplace.pdf
4
Apuntes - Ejercicios-Ecuaciones-Bernoulli.pdf
3 páginas
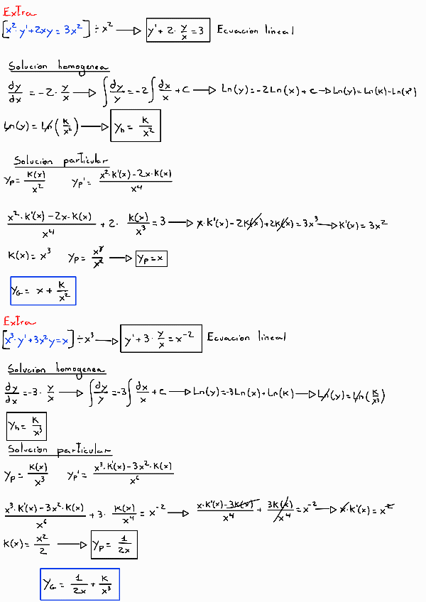
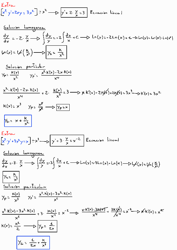
Apuntes - Ejercicios-Extra-Tema-2-Ecuaciones-de-Primer-Orden.pdf
26 páginas
Apuntes - Teoria-Tema-1-Introduccion-a-las-Ecuaciones-Diferenciales-Lineales.pdf
6 páginas
11
Prácticas - Practica-Resuelta.pdf
1 página
Exámenes - Examen-Ordinario-Resuelto-2024-2025.pdf
Apuntes - Ejercicios-Ecuaciones-Lineales.pdf
Apuntes - Ejercicios-Ecuaciones-Homogeneas.pdf
9